This is how to think about the problem, not how to do the calculations.
An external force on the cylinder always accelerates the cylinder. It may also cause the cylinder to rotate. The rotation depends on where the force is applied.
The cylinder is made of many atoms rigidly connected together. If you pull on one atom, it exerts a force on its neighbors, which pull on their neighbors, and so on. The result is the whole cylinder moves or rotates, but distances and angles among the atoms don't change. These are internal forces. They change the motion of individual atoms. But since the sum is 0, they don't change the acceleration of the cylinder as a whole. We will mostly gloss over them.
In general, the goal is to think about the cylinder as a whole. You want to do calculations with mass, moment of inertia, external forces, and such. You don't want to think about atoms and the internal interatomic forces.
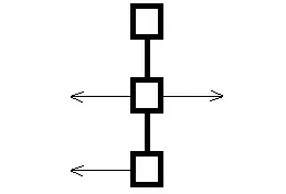
But to get the idea, we will look at the pieces of a simpler system. Three identical rigidly connected blocks are floating in space. You exert a force on the bottom block.

Forces and accelerations are vectors. You can add them together to see the total effect of multiple forces. This property of vectors is really useful. Sometimes replacing many little forces with one big force makes a calculation simpler.
Likewise, you can pretend that one force is really multiple forces, so long as the sum is the same, and you are careful to apply the forces at a points that produces the same torque. Sometimes this allows you to consider a problem piece by piece, where each piece is easier to understand.
You get the same accelerations (and therefore the same motion) with these three forces, because two forces on the middle block cancel.

Divide the problem into these two pieces.

A force through the center of mass accelerates the system without rotating it.
Two equal and opposite forces, not on the same line, are a torque. They rotate the system without displacing the center of mass. The torque will move the bottom block forward, the top block backward, and leave the center block still.
If you apply the three forces for a short time, they will cause small displacements to each block. Small displacements are vectors. The total displacement of each block is the sum of displacements from each piece of the problem.
The bottom block has two (unequal) forward displacements. The middle block has one displacement. The top has a forward displacement and a backward displacement.
If you drew a line through the blocks, you would find some point on the line doesn't move. For that point, the forward displacement from one part of the problem cancels the backward displacement from the other. It turns out this point is between the top and middle blocks.
For the cylinder, it may appear that the rotation is around the bottom of the cylinder because the bottom is at rest with respect to the cart. But the cart is moving.
To see why a minimum acceleration is needed to topple the cylinder, we will look at 4 blocks sitting on a cart. When the cart is still, there are two external forces: gravity and an upward force from the surface of the cart.
I have drawn the external forces off to the side. Gravity exerts a force $mg$ on each block. You should be able to see that this does not cause any rotation.
The cart exerts an upward force that is just strong enough to keep the blocks from penetrating the surface of the cart. This is $2mg$ on each bottom block. This does not cause any rotation.

We would get the same result if gravity was a single force, $2mg$, applied to each bottom block.
When the cart accelerates slowly, friction adds small torques and an irrotational force at the center of mass. This shows only the new forces.

Note that we would get the same result if torques like this had been applied.
The surface of the cart exerts an upward force just strong enough to keep the blocks from penetrating the surface. Notice the upward forces must be unequal to prevent rotation, which would cause the back block to penetrate the surface.

Now your job is to repeat this analysis with a cylinder instead of blocks.
You might want to keep in mind that the force of gravity on each atom can be rearranged in different ways to produce the same result. You can have one force at the center of mass. You can have one force at the bottom of the cylinder if you choose the right place. You can split it into two or more forces at different places on the bottom.
Likewise the force of friction on each atom at the bottom of the cylinder can be rearranged.
Choose carefully to make the problem simple.