In the introductory pages of Griffith's book on Quantum Mechanics, he says:
But wait a minute! Suppose I have normalized the wavefunction at time $t=0$. How do I know that it will stay normalized as time goes on and $\Psi$ evolves?
He then goes on to show that
$$(1)\ \ \ \ \ \ \ \ \ \ \ \ \ \ \ \ \ \frac{d}{dt}\ (\int_{-\infty}^{\infty} |\Psi(x,t)|^2 dx)=0$$
From $(1)$, he argues that if
$$\ \ \ \ \ \ \ \ \ \ \ \ \ \ \ \ \ \ \ \int_{-\infty}^{\infty} |\Psi(x,t=0)|^2 dx=1$$ then, $$ \ \ \ \ \int_{-\infty}^{\infty} |\Psi(x,t)|^2 dx=1$$
So basically, in order to prove that $\Psi(x,t)$ is normalized he uses $(1)$ but in order to prove $(1)$ he constrains $\Psi(x,t)$ to be normalized by saying that,$$\frac{d}{dt}\ (\int_{-\infty}^{\infty} |\Psi(x,t)|^2 dx)=\frac{i\hbar}{2m}\bigg|\bigg(\Psi^*\frac{\partial\Psi(x,t)}{\partial x}-\Psi\frac{\partial\Psi^*(x,t)}{\partial x}\bigg)\bigg|_{-\infty}^{\infty}=0 $$
For the above equality he argues:
But $\Psi(x,t)$ must go to zero as x goes to ($+$ or $-$) infinity-otherwise the wavefunction would not be normalizable.
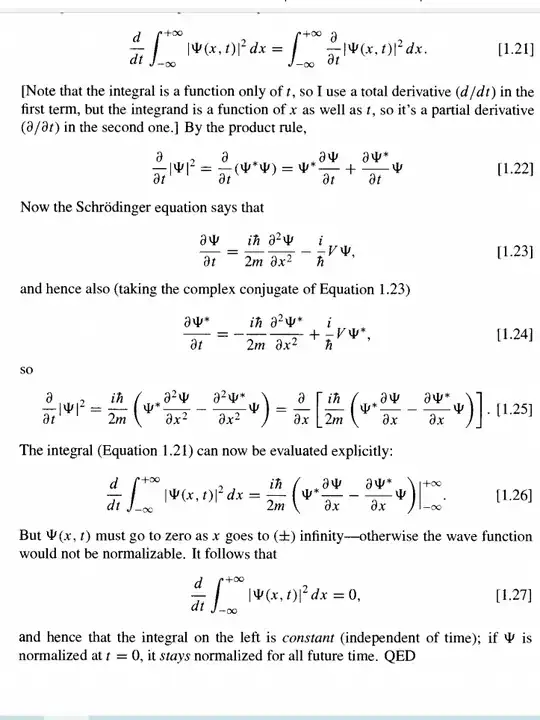
Writing down the whole exact derivation is time taking so I have instead summarized the main concerns above and attached a clear, visible picture of his proof here below:
I have issues with the justification of [1.26].
To me, it seems that this is a circular proof since in order to force that $\Psi(x,t)$ (which is the wavefunction at any arbitrary time) must go to zero as $x$ goes to infinity we have to assume that $\Psi(x,t)$ must be normalized which is what we are trying to prove!
Is this proof loose or am I missing/misunderstanding something obvious?
