The Planck function that describes the blackbody emission is a function of temperature and wavelength:
$$
B_\lambda(T)=\frac{2hc^2}{\lambda^5}\cdot\frac1{e^{hc/\lambda k_BT}-1}
$$
Due to the temperature dependence, blackbodies at different temperatures have different emissions. The graph below, from Wikipedia shows the drastic changes for blackbodies of temperatures 3000 K, 4000 K, and 5000 K (also shown is the Rayleigh-Jeans regime where $B_\lambda(T)\propto\lambda^{-4}$ which blows up to infinity at low wavelengths).

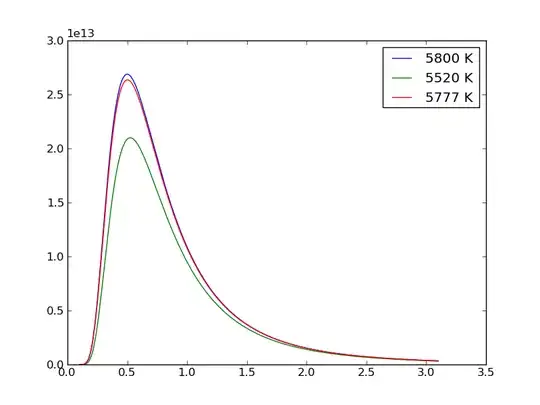
The spectral class of the sun is G2V. The G2 signifies that the surface temperature of the sun is about 5800 K, not 5250 C (about 5520 K) in your diagram. Thus, the emissions observed from the sun should be larger than that of the modeled blackbody you show.
Plotted below is the Planck function for a 5520 K emitter, a 5777 K emitter and a 5800 emitter. Both the 5777 K and 5800 K blackbodies have a peak that is about 30% larger than the 5520 K blackbody (left axis is W/sr/m$^3$, bottom axis is $\mu$m).

From Jim in the comments,
Don't forget temperature differences across the surface, light from hotter depth that eventually finds its way out, other light-producing phenomena (spectral emission from excited electrons recombining with atoms then ionizing again, photons created in scattering, decay, annihilation, etc processes), etc. A star is a complex system with a lot happening all the time. It's safe to assume that blackbody radiation (while the primary source) isn't the only source of radiation.
It appears that your image wants to fit the curve to the larger wavelengths, rather than the peak--this is where your confusion lies. If you fit the peaks, then surely $\varepsilon\leq1$ is satisfied (so long as you note the above comment from Jim, that the sun really isn't a pure blackbody).