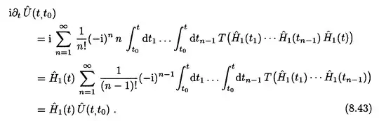
The following image is from Greiner's book, Field Quantisation, where he carried out the derivative in question. The only way I could make sense of it, was that the derivative acts only on the last integral of element $dt_n$ because the latter is essentially the only variable and all others depend on it (?); it gives the delta function $\delta(t-t_n)$; and that obtains $\hat H_1(t)$. When I isolate the corresponding integral however, it doesn't pan out. Furthermore, I still can't make sense of the $n$ and change of the sum range that the author claims comes from the symmetry of the integrand. How so ?
Asked
Active
Viewed 242 times
2 Answers
2
It is much simpler if we write the time ordered integrals in the form \begin{align} U(t,t_0) &= \sum_{n=1}^\infty \frac{(-i)^n}{(n-1)!} T \int_{t_0}^t dt_1\dots\int_{t_0}^t dt_{n-1} H(t_1)\dots H(t_{n-1})\\ &= \sum_{n=1}^\infty (-i)^n \int_{t_0}^t dt_1\int_{t_0}^{t_1}dt_2\dots \int_{t_0}^{t_{n-1}}dt_{n-1} H(t_1)\dots H(t_{n-1})\;. \end{align} Notice the change in the limits of integration now enforces time ordering. In this form $t$ enters only through the 1st integration boundary, so it is straightforward to differentiate using the fundamental theorem of calculus (we are taking the derivative of an integral) to get the required result.
By Symmetry
- 9,649

