I am trying to understand free particle in both cartesian and spherical coordinate. So a free particle going in, say $x$ direction with some energy $E$. We know the wavefunction of such particle is:
$$\psi(x)=Ae^{ikx} + Be^{-ikx}.\tag{1}$$
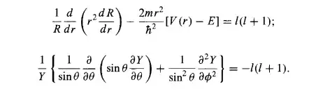
Now lets do the same calculation in spherical coordinate and derive the wave function. In Spherical equations take the following form with $\psi(r,\theta,\phi)=R(r)Y(\theta,\phi)$:
Now the angular part, $Y$, I can take it as constant, and $l=0$ as there is no angular momentum. Now if I solve now the radial part using the substitution $u=rR(r)$, and $V=0$, I get $u=Ce^{ikr}+De^{-ikr}$, and hence $R=\frac {1}{r}(Ce^{ikr}+De^{-ikr}).$
Now I know that $\theta=\pi/2, \phi=\pi/2$, and hence $x=rsin(\theta)sin(\phi)=r$, Now clearly just by substituting $r$ with $x$, I am unable to recover my cartesian solution as described above (eq. 1). Moreover at $r\to0$, the solution blows up which was not happening in the cartesian solution.
I am unable to understand this dilemma, that solution should be identical in both coordinates but they are giving me different results!
