Question
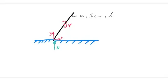
A uniform rod of mass $M$ is placed almost vertically on a frictionless floor. Since it is not perfectly vertical, it will begin to fall down when released from rest.
I have seen solutions online for this problem and while solving this problem, it is assumed that the end point of the rod that is in contact with the floor will continue to stay in contact with the floor till the rod, in its entirety, hits the floor horizontally. It is this assumption that lets us determine the normal force from the floor. However, how does one show that this assumption is true? Or is it taken to be an additional constraint of the problem?
Check the figure in D1 to verify if you've got the right setup in mind.
Duplicates in SE:
- D1: Will a falling rod always remain in contact with the ground?
- D2: Rod Falling on Frictionless Surface
- D3: Equation of motion for a falling rod (with one end touching a frictionless surface)
I believe the OP in D1 has asked the same question (along with other questions) but it has been closed as off-topic. Simon Robinson, one of the answerers in D2, has also expressed concerns about this. I ask this question because it hasn't been addressed properly on SE. I don't feel that the answer to this question is specific only to this vertical rod problem. Instead, I feel that this question is onto something basic that I don't yet understand regarding the necessary constraints that need to be specified in a physics problem.
My Attempt
The problem with this question is that I feel like I have given all the information that's necessary to predict the entire dynamics of the rod's motion after its release. I'm unable to accept the idea that "rod-cannot-lose-contact" constraint must be specified as an additional piece of information to solve this problem. If we accept that it's not an additional constraint, then we should be able to show that the rod's end point cannot lose contact. But, that's the problem. I've been thinking about it for days and I can't seem to find a way to show that.
I'm unable to see anything "violated" if it loses contact at some point during its fall. After it loses contact, it simply rotates about the center of mass with constant angular velocity [See $(1)$] and the rod's COM falls down with acceleration $\mathbf{g}$. $$\frac{d\mathbf{L}_{CM}}{dt} = \boldsymbol{\tau}_{CM} \Rightarrow \text{$L_{CM}=I_{CM}\omega\;$ is constant} \tag{1}$$
Thanks for taking the time to read this question. I apologize if I have violated any code of conduct.
Any insight that addresses my question would be greatly appreciated.
Further Clarification, If Needed
Clarifications which will hopefully help PhySE users to better understand my question are made here. Reading the following information is not necessary to answer my question.
It is important to note that even if the rod's bottom end point loses contact with the floor at some point during the fall, the centre of mass of the rod will continue to fall vertically straight down just as before (but now with acceleration $\mathbf{g}$). So, the fact that the COM falls vertically straight down cannot be used to prove that the rod's bottom end point doesn't lose contact with the floor.
COM falls vertically straight down $\not\Rightarrow$ the rod's bottom end point doesn't lose contact with the floor




