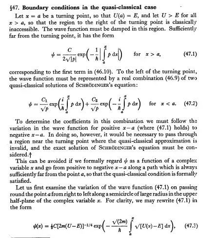
The question is basically about section 47. in Landau's Quantum Mechanics (non-relativistic theory)
everything is fine until the sentence (at the beginning of the second page) where he says: it is evident a priori that, as a result of passing...
My first question is how does he get that the second term dominates (if the contour goes over the upper half of the plane) that is that the first term dominates if we go through the lower part of the plane (what is the argument for this?)
secondly if we go in a semi-circle $x$ should be of the form $x=re^{i\phi}$
meaning if we make a semi-circle we should get
$$\frac{C}{2(2m(U(xe^{i\pi})^{1/4}}\exp{(-\sqrt{2m}/\hbar \int_a^{xe^{i\pi}}\sqrt{U(x')-E}dx')} $$
I see how he gets the $Ce^{\pm i \pi/4}$ but what happens with the $e^{i\pi}$ in the upper limit of the integral. Am I missing something? (I probably am because it is very unlikely that Landau is missing something and I ain't)
Now that I think of it how does he get the $\pi$ factor anyway, It kind of makes sense because we are moving half-circle but I when I write it in the integral it doesn't seem to make sense.
I can't seem to comprehend what he is doing mathematically in this step
(note* I do have some understanding of complex analysis, It's not perfect but I know about branch cuts, the residue theorem and stuff like that)

