6

Short question

Given any Lagrangian density of fields one could possibly conceive, is it the case that after one has performed a Legendre transformation, if the Hamiltonian is then expressed in terms of the original fields, will it contain all of the terms originally in the Lagrangian but with the signs of the potentials 'flipped'? Or are there cases when terms will be dropped in the transformation? Or is my statement altogether wrong. This question is inspired by the long version of my question below, relating to a problem I am currently working on.

Long, specific question

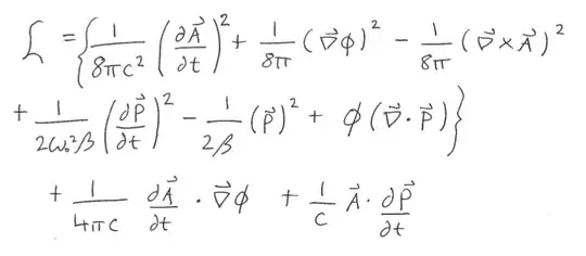
Given the Lagrangian density

enter image description here

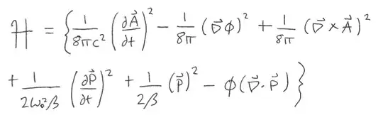
I have derived (several times to check for errors) using a Legendre transformation, the Hamiltonian density:

enter image description here

which is basically the Lagrangian density with a few sign flips apart from that it is missing the two terms outside the brackets in the Lagrangian density $\frac{1}{4\pi c}\frac{\partial\vec{A}}{\partial t}\cdot \nabla\phi + \frac{1}{c}\vec{A}\cdot\frac{\partial \vec{P}}{\partial t}$.

This worries me, as naively I expected to obtain a Hamiltonian very similar looking to the Lagrangian with all the same terms but some of the signs flipped. However I noticed that the 'missing' terms are the only ones which contain non-squared time derivatives so thought that might have something to do with it.

Tom
  • 992

1 Answers1

9

I) For a general Lagrangian $L(q,v,t)$, the Legendre transformation may be singular, i.e. the velocities $v^i$ in the momentum relations

$$\tag{1} p_i~:=~\frac{\partial L(q,v,t)}{\partial v^i}$$

cannot be isolated. How to perform a singular Legendre transformation to achieve the corresponding Hamiltonian formulation goes under the name Dirac-Bergmann analysis, cf. Refs. 1 and 2.

II) Example. OP is evidently considering Hopfields's EM model with polarization also studied in this Phys.SE post. Its Lagrangian density$^1$

$$\tag{2} {\cal L}(A_{\mu},{\bf P}) ~=~-\frac{1}{16\pi}F_{\mu\nu}F^{\mu\nu} +A_{\mu} J^{\mu}_b +\frac{1}{2\beta}\left(\frac{1}{\omega_0^2}\dot{\bf P}^2 -{\bf P}^2\right)$$

leads to a singular Legendre transformation. The momentum

$$\tag{3} \pi^0~:=~\frac{\partial {\cal L}}{\partial \dot{A}_0}~=~0$$

corresponding to the $A_0$ field vanishes! Eq. (3) is a primary constraint in Dirac's terminology. One may show that there also is a secondary constraint, namely Gauss's law

$$\tag{4} {\bf \nabla}\cdot {\bf D}~=~0,$$

where ${\bf D}={\bf E}+4\pi{\bf P}$. (There are no free charges in this model.) The momentum ${\bf \pi}=-\frac{1}{4\pi}{\bf E}$ for the magnetic vector potential ${\bf A}$ is essentially the electric field ${\bf E}$. Let ${\bf \Pi}$ be the momentum for the polarization ${\bf P}$. One may show that the Hamiltonian density becomes

$$\tag{5} {\cal H}(A_{\mu},{\bf E},{\bf P},{\bf \Pi}) ~=~ \frac{1}{8\pi}({\bf E}^2+{\bf B}^2) +\frac{1}{4\pi}A_0 {\bf \nabla}\cdot {\bf D} +\frac{\beta\omega_0^2}{2}({\bf \Pi}-{\bf A})^2 +\frac{1}{2\beta}{\bf P}^2,$$

after dropping a total divergence term and eliminating the $\pi^0$ field.

III) Technically, what OP writes in his second equation is not the Hamiltonian density ${\cal H}$ but the Lagrangian energy density function

$$ \tag{6} {\cal h}(A_{\mu},\dot{\bf A},{\bf P},\dot{\bf P}) ~:=~\dot{A}_{\mu} \frac{\partial {\cal L}}{\partial \dot{A}_{\mu}} + \dot{\bf P}\cdot \frac{\partial {\cal L}}{\partial \dot{\bf P}}-{\cal L}.$$

IV) More generally, the point is that the Lagrangian energy function $h$ depends on velocities $v$, while the Hamiltonian $H$ depends on momenta $p$. If the Lagrangian is of the form

$$ \tag{7} L~=~\sum_{n=0}^{2}L_n,$$

where $L_n$ is homogeneous in velocities $v$ with weight $n$ (i.e. the Lagrangian (7) depends on the velocities up to quadratic order), then the Lagrangian energy function is

$$\tag{8} h~:=~~\left(v^i\frac{\partial}{\partial v^i}-1\right) L ~=~\sum_{n=0}^{2}(n-1)L_n ~=~ L_2 - L_0. $$

In words: The quadratic terms $L_2$ are preserved, the linear terms $L_1$ disappear, and the constant terms $L_0$ flip signs.

References:

  1. P.A.M. Dirac, Lectures on Quantum Mechanics, 1964.

  2. M. Henneaux and C. Teitelboim, Quantization of Gauge Systems, 1994.

--

$^1$ In this answer we work with cgs units where the speed of light in vacuum is $c=1$, and Minkowski signature $(-,+,+,+)$, cf. this Phys.SE answer.

Qmechanic
  • 220,844