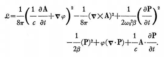
I am tasked with reading and reproducing all the steps in J.J. Hopfield's 1958 paper "Theory of the Contribution of Excitons to the Complex Dielectric Constant of Crystals". Embarrassingly I am stuck on equation (3). Hopfield takes the Lagrangian density for an infinite classical dielectric in interaction with the electromagnetic field to be

Instead of taking this equation at face value, I would like to fully derive this Lagrangian density, but am unsure how to approach the problem. I have found many articles and sites tackling a similar problem, but never ending up with an expression as here. Any pointers on how to approach the problem or links to material that could be useful would be very much appreciated.