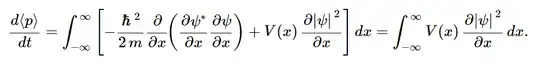
When deriving the expression of momentum expectation value one gets to what's shown in the picture. However, every text I've seen so far simply neglect the first term inside the integral. I would comprehend if there were linear factors of the wave function itself, since it goes to zero. However this is not the case and I don't get why this term's cancelled.
Asked
Active
Viewed 22 times
