On Peskin and Schroeder's QFT book, page 319, the book discussed various situations of QED divergence.
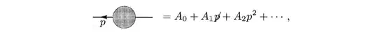
On the first paragraph of p.319, the book considered Taylor series of electron self-energy diagram:
where each coefficient is independent of $p$:
The book further said these coefficients are infrared divergent.
I am quite confused for above statements. We know that electron self-energy diagram value is: $$\int d^4 x\langle\Omega|T \psi(x) \bar{\psi}(0)| \Omega\rangle e^{i p \cdot x} =\frac{i}{ \not p-m_0-\Sigma(\not p)} \tag{7.23}$$ where $\Sigma(\not p)$ is value of 1-Particle-Irreducible self-energy diagrams.
I am troubled for why we can do this analytic expansion, and why the coefficient is independent of $p$. I find similar analysis in here, here and here. So this have been almost solved.
I am also troubled why these coefficients are infrared divergent? Which means when $\not p \rightarrow 0$, their have divergent? And why?

