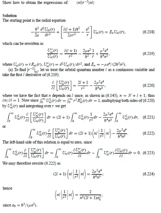
I have a problem understanding the solution provided for the problem here:
It's from the book "Quantum Mechanics - Concepts and Applications", 2nd ed., by N. Zettili (Wiley, 2009).
My issue is that I don't understand the second equality of eq. (6.223). Why do these two integrals cancel each other out?
