this is a very short question, probably I'm missing something really simple: according to Drude model, we have for the drift velocity of electrons, being also the average velocity: $$ v_d = \frac {-e E \tau } m ,$$ where $ \tau$ is average free path time. Now, how can this be the average electron velocity? This velocity comes from the whole momentum increase during the free path, shouldn't we consider the average electron being only at half of the path, dividing the velocity by 2?
3 Answers
This is often a puzzle which can be solved in the following way.
In the derivation it is assumed that immediately after a collision an electron has zero drift velocity and then because the acceleration $\dfrac {eE}{m}$ is constant the electron has a speed of $\dfrac {eE\tau}{m}$ after a time $\tau$ which is the average time between collisions.
So the erroneous argument goes as follows.
There is constant acceleration, the electron starts from zero speed and reaches a speed $\dfrac {eE\tau}{m}$ after a time $\tau$ and so the average speed is $\dfrac 12\dfrac {eE\tau}{m}$.
However what is missed is the fact that not all electrons accelerate for a time $\tau$.
It can be shown that after a time $\tau$ only $e^{-1} \approx 0.37$ of the electrons would have not have undergone a collision.
So over half $(0.63)$ of the electrons would have suffered a collision, not travelled very far and hence not contributed much to the average speed.
However although there are fewer electrons which travel for more that time $\tau$ they travel proportionately much further and so contribute a great deal to the average speed of all the electrons.
Note that electrons which collide in a time less $\tau$ have all travelled for a time interval $0\le\rm time \le \tau$ whereas those have travelled for longer than $\tau$ have all travelled for a time interval $\tau < \rm time \le \infty$.
This is illustrated in the graphs below.
So only about $13\%$ of the electrons travel for a time longer than $2 \tau$ and yet they have a large effect on the average time between collisions.
After doing the sums it is found that the average speed of the electrons which is called the drift speed is indeed $\dfrac {eE\tau}{m}$
The situation that electrons find themselves in a metal is similar to that of unstable nuclei and the mathematical analysis is very similar.
For an unstable nucleus that rate of decay $\dfrac {dN}{dt}$is proportional to the number of unstable nuclei $N$ and the constant of proportionality is $-\lambda$ where $\lambda$ is the decay constant.
For electrons with an average time between collisions of $\tau$ the probability of a collision in a small time interval $dt$ is $\dfrac {dt}{\tau}$.
In a time $t$ you have $N(t)$ electrons which have not collided and then at a time $t+dt$ there will be N(t+dt) which have not collided.
The decrease in the number during that time interval is $N(t) \dfrac{dt}{\tau}$.
$N(t+dt)-N(t) = -N(t) \dfrac{dt}{\tau} \Rightarrow \dfrac {dN(t)}{dt} = - \dfrac 1 \tau N(t)$
For the electrons the rate at which electrons collide (equivalent to nuclei decaying) is proportional to the number of electrons and the constant of proportionality is $-\frac 1 \tau$.
$\dfrac {dN(t)}{dt} = - \dfrac 1 \tau N(t) \Rightarrow N(t) = N_o e^{\frac t \tau}$ where $\tau$ is the average time between collisions, $N_o$ is the number of at the start and $N(t)$ is the number of electrons which have not collided after a time $t$.
That is where the factor $0.37$ came from.
In the same way as you can show that the lifetime (average time before decay) of an unstable nucleus is $\frac 1 \lambda$ so you can show for electrons that the average time before a collision is $\tau$.
This is exactly what is wanted because for electrons
$\vec v_{\rm final} = \vec v_{\rm initial} + \dfrac {e\vec E}{m}t$
$\left( \vec v_{\rm final} \right)_{\rm average} = \left( \vec v_{\rm initial} \right)_{\rm average} + \left( \dfrac {e\vec E}{m}t \right)_{\rm average}$
$\left( \vec v_{\rm final} \right)_{\rm average}$ is the drift speed $v_{\rm d}$ on top of the random thermal motion of the electrons which averages out to zero.
$\left( \vec v_{\rm initial} \right)_{\rm average} =0$ as this is the random thermal motion of the electrons.
$\left( \dfrac {e\vec E}{m}t \right)_{\rm average}= \dfrac {e\vec E}{m}\left( t \right)_{\rm average} = \dfrac {e\vec E\tau}{m}$
- 104,498
I make a simulation with $\tau = 100$, $acceleration = 1$. The behavior of a single electron looks like:

The larger the velocity, the longer that free travel lasts in the time line.
By calculating the average velocity with $\frac{1}{2}a\tau$, you simply assume that each free travel accounts equally in duration, which is incorrect.
To get the real average velocity, you should calculate each area of the triangle above and average them over time: $$\frac{1}{n\tau}\sum_{i=1}^{n}\frac{1}{2}at_{i}^{2}$$
or use integration: $$\int_{0}^{+\infty}\frac{1}{\tau}e^{-t/\tau}\cdot \frac{1}{\tau}\frac{at^2}{2}dt = a\tau$$ where $\frac{1}{\tau}e^{-t/\tau}$ is the probability of an electron collides at $t$, with mean free time $\tau$.
So the correct average velocity is $a\tau=100$.
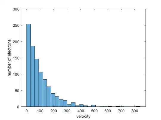
By the way, the simulation of 1000 electrons show that the velocities distribution at any time is also in accord with $\frac{1}{\tau}e^{-t/\tau}$.

- 31
- 2
Average here really means thermal average. Free electrons in a metal move in random directions with thermal velocities of the order of $10^6-10^7m/s$, according to the Maxwell distribution. These are huge velocities, but the average velocity is zero. When an electric field is applied, the distribution slightly shifts (as described by the Boltzmann's equation) to a non-zero average, which is called the drift velocity.
- 68,984
