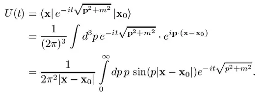
In this Wikipedia article a relativistic wave equation is derived using the Hamiltonian $$H=\sqrt{\textbf{p}^2 c^2 + m^2 c^4}$$ Substituting this into the Schrödinger equation gives the square root version of the Klein-Gordon equation: $$\left( \sqrt{ (-i \hbar \nabla)^2 c^2 + m^2 c^4 } \right) \psi = i\hbar\frac{\partial}{\partial t} \psi$$ Then the article says:
Another problem, less obvious and more severe, is that it can be shown to be nonlocal and can even violate causality: if the particle is initially localized at a point $r_0$ so that $\psi(r_0 ,t=0)$ is finite and zero elsewhere, then at any later time the equation predicts delocalization $\psi(r,t)\neq 0$ everywhere, even for $r>ct$ which means the particle could arrive at a point before a pulse of light could.
What is this solution explicitly? I have read also this Phys.SE question but there is no clue for my question.

