So I am starting to read QFT from P&S, and in the very beginning they set out to clarify why a naive approach of writing a single particle relativistic hamiltonian would lead to propagation outside the light cone. I have several questions about their line of argument, some technical and some physical.
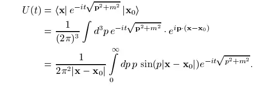
Technical question: How do I get from the second to the final step?

The phase is stationary when $p = \frac{imx}{\sqrt{x^2 - t^2}}$, but that does not lead me to the same conclusion as P&S in a straightforward way. Am I missing some further approximations?

Here P&S talks about causality in terms of measurements outside the light cone affecting the inside. They say that QFT will take care of it by introducing antiparticles, which will cancel out the contribution from the particle. But didn't we just argue that, for real particles at least, the amplitude does not cancel? (since their antiparticle are themselves) So what happens to the causality, or are there no real particles? I am confused.

I know its really three questions but they are connected, so it made more sense to pack them into one. Can someone help me out with explicit calculations and explanations?
Thanks in advance.
References: Peskin & Schroeder p.14