20

The radius of the earth is higher at the equator than at the pole. Would it mean then, that if I put a giant ball at the equator, it would roll up towards the pole? Why, why not?

AlphaLife
  • 13,439

6 Answers6

38

The brief answer is no. The Earth is that oblate shape due to gravity and centripetal forces reaching an equilibrium, where essentially the gravitational potential is the same everywhere (at sea level). Water tends to find a level (ignoring tides) and even the oceans at the equator are 'bulged' but a boat on the ocean will not drift towards the poles, because the oceans are essentially gravitationally flat. See my answer to Centripetal force on the surface of the Earth for the details of why this is so.

KDP
  • 10,288
14

A big enough giant ball might actually roll towards the equator

The other two answers nicely explained why water would not flow towards the poles. However, looking at the question as asked - I think a "giant ball" might actually roll towards the equator.

At ground level, the centripetal force exactly cancels out the gravity from earth's mass. But your giant ball's center of mass will lie (quite a bit, if it's giant enough) above the ground, meaning further away from the center of mass and rotation of earth.

Now, to make this work, I'll assume that the ball starts stationary relative to the earth's surface (a human standing there would think it's not moving).

As shown in the other answers, at ground level gravity and centripetal force cancel each other out.

  • The centripetal force can be calculated as mass times radius times the square of the angular velocity.
    • So it grows linearly with growing radius, as long as the angular velocity stays the same (which it would for something staying "at the same place" on the rotating earth)
  • The attractive force due to gravity is g times the product of the two masses, divided by the radius squared
    • so it shrinks quadratically with growing radius

Meaning, the further away from the center of the earth we put the center of mass, the stronger the centripetal force and the weaker the gravity. So since at ground level they equal out, a giant ball with its center of mass above the ground would feel more centripetal force than gravity - and roll towards the equator.

Unless it's balanced exactly on a pole, where the centripetal forces on all its parts would exactly balance out, I suppose.

Syndic
  • 273
9

There is something essential which was implicit in the other answers but not mentioned explicitly: The rotating Earth, behaving essentially like a glob of fluid at large scale, "automatically" adjusts its shape until no lateral forces are acting on its surface any longer:

The Earth's geoid with perpendicular net force vectors

This must be the end state because any lateral force would cause the (large-scale "fluid") mass to move laterally — and thus change the shape of the blob! — until it reaches equilibrium, which is here defined by not being subject to lateral forces — in other words, the net force must be perpendicular, which is what we see. A (small) ball even on a perfectly smooth surface would not be accelerated in any direction except vertically (which is, in most places, not exactly towards the center of mass).

This is the state of lowest potential energy; in order to achieve a deviation, that is, in order to deform Earth away from this equilibrium, a third party would have to exert energy.

This is an "emergent" behavior entirely explained and defined by first principles and small-scale interaction. It is, if you want, the result of an analog mechanism solving an optimization problem, similar to soap skins finding the (often complicated and hard to compute) surfaces of lowest potential energy spanning arbitrarily shaped wire frames.

4

In spherical co-ordinates, let $\theta$ be the polar angle measured from the North pole. We model the Earth as a rigid, oblate spheroid, centered at the origin with uniform density $\rho$ and eccentricity $\epsilon=0.08$. Our co-ordinates are in the non-inertial frame of the rotating Earth. We make an important simplifying assumption: the ball may not move in the $\hat{\phi}$ direction. This is reasonable as the spheroid is azimuthally symmetric (and convenient as we avoid the non-holonomic constraint of a rolling ball on a surface). The Coriolis force vanishes smoothly with velocity, so we will regard it as negligible. Concretely, we will evaluate the potential energy of the ball as a function only of $\theta_b$, the polar co-ordinate of the ball's center.

The potential energy will have two contributions: from the gravitational field of the Earth, and from the centrifugal (fictitious) force.

Since $\epsilon$ is 'small' it is reasonable to consider the $\mathcal{O}(\epsilon^2)$ truncated potential outside an oblate spheroid

$$\tag{1} \Phi_G(r,\theta)= -\frac{GM}{r}+\epsilon \frac{2GM\bar{a}^2}{5r^3}P_2(\cos \theta) $$

where $\bar{a}$ is the mean Earth radius (such that $M=\frac{4}{3}\pi \bar{a}^3 \rho$), $M$ the total Earth mass, $G$ the gravitational constant, and $P_n$ is the $n$th Legendre polynomial. A full expansion in terms of the moments of the spheroid's mass distribution may be found in the book by Chandrasekhar.

The centrifugal force contributes

$$\tag{2} \Phi_C(r,\theta)=-\frac{1}{2}\omega^2r^2\sin^2\theta $$

Where $\omega$ is the angular velocity of the Earth. The total potential energy of the ball is

$$\tag{3} E(\theta_b)=\int\limits_\text{ball} d\text{Vol}' \ \rho_b \left[\Phi_G(r',\theta')+\Phi_C(r',\theta') \right] $$

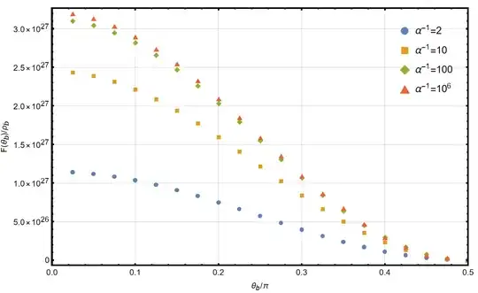
Where $\rho_b$ is the density of the ball. Note that the ray connecting the origin to the ball's center does not pass through the tangent point between the Earth and ball. It is a straightforward but tedious computation to identify the 'correct' location of the ball for a given $\theta_b$. We numerically integrate (3) using all the appropriate constants for Earth, and define the scaled energy

$$\tag{4} F(\theta_b)=\frac{E(\theta_b)-E(\pi/2)}{\alpha^{3}} $$

Where $\alpha=\frac{\text{ball radius}}{\text{equatorial Earth radius}}$. In (4), $\alpha$ appears to the third power because we expect the energy to scale approximately with the third power of radius, so that $F$ will capture the deviation from this scaling.

enter image description here

There is an unstable equilibrium at the poles and a stable equilibrium at the equator. Qualitatively these conclusions are independent of the ball size. So the ball rolls towards the equator.

What about on Saturn, which is the most oblate planet, with an eccentricity of $\epsilon=0.43$? The analogous plot is:

enter image description here

The increased oblateness leads a wider basin around the equator and a steeper 'hill' near the poles. The increased rotational speed leads to reduced dependency of $F$ on the ball size.

Sal
  • 1,061
1

I submit a second answer, specifically for discussing a version of the thought experiment with an impossibly large ball.

In this version: let the shape of the rotating celestial body be the reference ellipsoid. Let the giant ball be of uniform density, and perfectly spherical. Let the giant ball be released in a state of co-rotating with the Earth.

We have: the point of gravitational attraction (of the ball) is at significantly higher altitude than the point of contact with the surface.

The gravitatinal field around an oblate spheroid has the following property: the higher the altitude the more spherical the gravitational field.

In terms of equipotential surfaces:
The reference ellipsoid is an equipotential surface: the equipotential surfaces at a higher geopotential are more spherical.

It follows that above the Equator the equipotentials will be spaced closer together than above the poles.


The center of gravitational attraction of the ball is at a fixed distance above the reference ellipsoid. Because of that I expect: for any latitude of release the ball will tend to move towards the nearest pole, as that will bring the ball's center of gravitational attraction to a lower potential.


Let us additionally assume there is no friction, hence no dissipation of energy.

Upon release the giant ball is circumnavigating the Earth's axis. In order to be pulled all the way to the (nearest) pole the ball would have to reject energy. But we have assumed there is no friction, so there is no opportunity to dissipate energy.

When the giant ball is pulled closer to the (nearest) pole the centripetal force is doing work, resulting in increase in angular velocity of the ball. With that increased angular velocity the ball is circumnavigating the Earth's axis faster than the Earth itself is rotating, and the ball will swing wide.

(Swinging wide: as the distance to the (nearest) pole increases the ball slows down again. The ensuing motion pattern will be one of oscillation in distance to the (nearest) pole, and oscillation of angular velocity, in accordance with conservation of the sum of kinetic energy and potential energy.)

In frictionless circumstances the motion of the giant ball is a form of orbital motion. (Motion tends to be referred to as 'orbital motion' when the motion is circumnavigating, and there is no opportunity to dissipate energy.)


Generally, on a rotating celestial body migrating to another latitude is next to impossible. Example, Jupiter. Jupiter rotates fast; a Jupiter day is about 10 hours, resulting in strong rotation effect. On Jupiter the different latitudes have distinct colors. It is next to impossible for parts of the Jupiter atmosphere to migrate to another latitude. (Example: jupiter's Great Red Spot has never been seen to migrate to another latitude.)

Cleonis
  • 24,617
0

Expanding on the answer by contributor KDP:

As pointed out by KDP: at every latitude the amount of centripetal force that arises from the Earth's equatorial bulge is the amount that is required to remain on the same latitude, co-rotating with the Earth.

To get an idea for the amount of centripetal force that is required: At 45 degrees latitude: to find the required centripetal force (in the direction parallel to the local surface): divide the mass of an object by 580.

So: for a person with a weight of 70 kg (about 155 Pounds) the required centripetal force corresponds to a weight of about 120 gram.

Regular 80-gram A4 paper weighs 5 gram per sheet; so you can get a feel for a weight of 120 gram by feeling the weight of a stack of 24 sheets.



The Earth started out as a protoplanetary disk, subsequently contracting to a planet. The process of contracting from disk towards spherical converts gravitational potential energy to (rotational) kinetic energy.

Towards the equilibrium shape: The process of contraction of a rotating system is a process of doing work; the contraction increases the (rotational) kinetic energy.
As long as the decrease of gravitational potential is still larger than the increase of kinetic energy the contraction continues. (The surplus energy transforms to heat.)

The contraction ceases when the point is reached where the rate of change of kinetic energy (as a function of contraction) is equal to the rate of release of gravitational potential energy (as a function of contraction.)

For comparison: take the example of a rotating dish with a layer of fluid in it. When the dish is rotating at a uniform angular velocity the fluid settles to a state where no part of the fluid moves relative to other parts; solid body rotation

With solid body rotation:
As you go from the center to the rim: the velocity increases linear from center to rim, which means that the kinetic energy increases quadratically from center to rim.

The potential energy - from center to rim - increases quadratically too. The required centripetal force increases linear with distance to the center; hence the potential increases quadratic.

The case of solid body rotation can be recognized as an instance of equipartion of energy.
At every distance to the center of rotation: for any parcel of fluid the amount of kinetic energy and the amount of potential energy are in a 1:1 ratio.

The case of the rotating Earth is analogous to that:
A parcel of fluid at the Equator is at a higher potential than a parcel of fluid at the poles. The difference in potential between equator and poles is the same as the difference in kinetic energy between Equator and poles.


The difference in geopotential (between Equator and poles) corresponds to a height difference of about 11 kilometers.

Now, that number of 11 kilometers may come as a surprise, because geometrically the difference is about 21 kilometers. (Equatorial radius is about 21 kilometers more than polar radius.)

The explanation:
For an object located at the Equator the center of the Earth's attraction is not at the same location as for an object located on one of the poles. It is only with a perfectly spherical celestial object that the center of gravitional attraction coincides with the geometrical center.



Fluid on the surface of the Earth, co-rotating with the Earth is in dynamic equilibrium.



This dynamic equilibrium has significant consequences for when fluid is in motion relative to the Earth.

If fluid is flowing from west-to-east then it is circumnavigating the Earth's axis faster than Earth rotation. Then the amount of centripetal force provided by the Equatorial bulge is not sufficient, and the fluid will swing wide: on both hemispheres: the motion of the fluid will deviate towards the Equator.

If fluid has an initial direction of east-to-west, parallel to the local latitude line, then it is circumnavigating the Earth's axis slower than Earth rotation, which means there is a surplus of centripetal force. That surplus then pulls the fluid to the inside of the latitude line it was initially flowing along.


By contrast:
The case of the ground track of the orbit of a satellite that is in an orbit that is inclined relative to the plane of the Equator.

Twice every cycle the groundtrack is momentarily parallel to a latitude line. Let the satellite be orbiting at a altitude such that when the groundtrack is parallel to a latitude line the angular velocity of the satellite is slower than the Earth's rotation rate. The ground track will then proceed to the outside of the latitude line.


Opposite effect

Fluid mass flowing over the surface of the Earth: east-to-west motion is pulled to the inside of the initial direction of motion.

Satellite ground track: east-to-west motion of the ground track relative to the Earth turns to the outside of the latitude line.

Cleonis
  • 24,617