I have read this Q&A by @ACuriousMind about representations of a symmetry group in quantum mechanics and then also chapter 3 and 4 of Schottenloher's "A mathematical introduction to conformal field theory" it was cited in the comments of the question but I'm still left with some doubts (I posted another one here).
Just to give some context and notation we know that in QM the space of states is the projective Hilbert space $P\mathcal{H}$, so a symmetry transformation must act on it in the first place. Thus, given $G$ the symmetry group of the system, we have a projective representation $T \colon G \rightarrow \textsf{Aut}(P\mathcal{H})$ which is a group homomorphism. The equivalence classes, or operator rays, $T(g) \in \textsf{Aut}(P\mathcal{H})$ are induced, by Wigner's theorem, by either unitary and linear or anti-unitary and anti-linear operators $U(g) \in \textsf{Aut}(\mathcal{H})$.
$U \colon G \rightarrow U(\mathcal{H})$ (restricting the discussion only to unitary operators) is a group homomorphism just up to a phase $\omega$ $$U(g)U(h)=\omega(g,h)U(g,h)$$that in some cases can be made equal to 1, thus obtaining an ordinary representation. This depends on the second cohomology group of $G$ with coefficients in the group of phases $U(1)$: only if there are trivial cocycles (phases that can be written in a certain form) this is possible.
- Schottenloher states in page 48 that, given G the classical symmetry group
a lifting [of a projective representation of G to an ordinary one] exists with respect to the central extension of the universal covering group of the classical symmetry group.
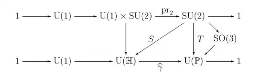
that is also made clearer by the following example 3.8 about $SO(3)$ and $SU(2)$. At first this didn't coincide with what I learned (i.e. that a proj. rep. of $SO(3)$ is isomorphic to an ord. rep. of $SU(2)$ and not of its central extension) but then in chapter 4 in the proof of Bargmann's theorem he proves that for a simply connected group, as an universal cover like $SU(2)$ naturally is, the exact sequence $$1 \rightarrow U(1) \rightarrow E \rightarrow SU(2) \rightarrow 1$$ splits and so we can avoid the passage to the central extension and have directly and ordinary rep. of $SU(2)$.
Now, to do so he uses theorem 3.10:
I don't get why this couldn't apply directly to $S0(3)$ as the group $G$ instead of doing this:
I will try to explain myself better: if we can take $SO(3)$ as the group $G$ why don't we (or at least the author) just refer to the ordinary representation $S \colon E \rightarrow U(\mathcal{H})$ of its central extension? Is it because that central extension $E$ of $SO(3)$ turns out to be exactly $U(1) \times SU(2)$? If that is the case what is the way to prove it and is it, as I suppose, general for all non simply connected groups?