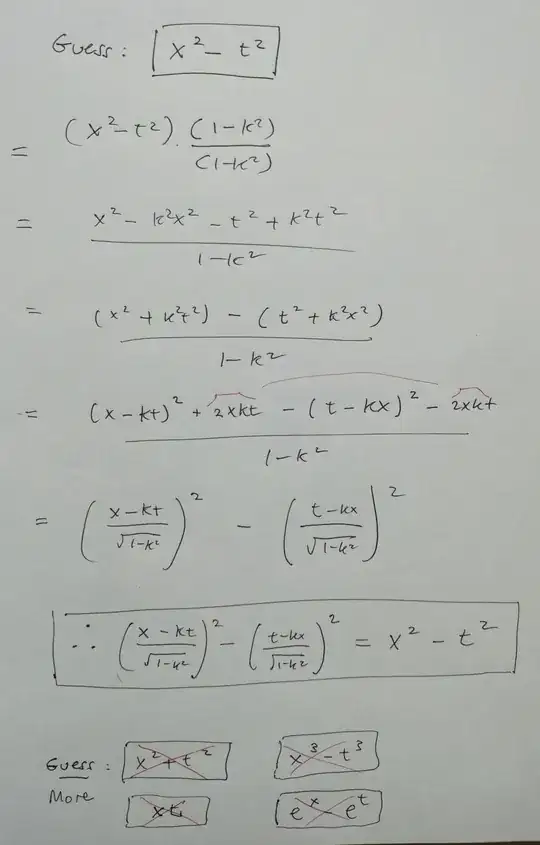
What are the methods for guessing the invariant quantity:
$$x^2 - t^2$$
under Lorentz transformation
$$x'=\gamma(x-vt)$$ $$t'=\gamma\left(t - {vx}\right)$$
where c = 1.
What are the methods for guessing the invariant quantity:
$$x^2 - t^2$$
under Lorentz transformation
$$x'=\gamma(x-vt)$$ $$t'=\gamma\left(t - {vx}\right)$$
where c = 1.
It's helpful to consider the Euclidean version of your question.
What is the simple step-by-step procedure for "discovering" this particular invariant quantity
$$x^2+y^2$$
using the vector method?
Let $\vec V=(x,y)$.
Given the dot-product $g_e(\vec A, \vec B)=A_xB_x+A_yB_y$,
we have
$$g_e(\vec V, \vec V)=x^2+y^2. $$
So, by analogy, let $\tilde S=(t,x/c)$ be a vector in (1+1)-Minkowski spacetime
with Minkowski dot-product $g_m(\tilde A,\tilde B)=A_tB_t- A_xB_x$.
Thus
$$g_m(\tilde S, \tilde S)=t^2-(x/c)^2. $$
Now, you may have a different but related question:
Why is the Minkowski dot-product defined as that?
That's follows from the Relativity Principle and the Speed of Light Principle.
Rather than think of "switching a sign", I prefer Bondi's motivation, which I describe here at https://physics.stackexchange.com/a/508251/148184 in response to Minkowski Metric Signature .
A possible follow-up... about generating invariants... first consider how one does it in the Euclidean case (with its Euclidean metric).
update:
Vector and tensor algebra is an efficient way to generate scalars, if you can form the appropriate quantities.
With a vector alone $V^a$, you can't do anything.
You need additional structure, like a covector $\omega_a$ or a tensor like $Z_{ab}$. Then you can form $V^a \omega_a$ and $Z_{ab}V^aV^b$. For example, the dot product via a metric tensor $g_{ab}$ [a symmetric tensor] is an example of a $Z_{ab}$.
With two vectors and a metric, you can form dot products among them $$g_{ab}V^aV^b ,\qquad g_{ab}P^aP^b,\qquad g_{ab}V^aP^b .$$ If $g_{ab}$ is the Minkowski metric, $V^a$ is the 4-velocity of an observer, and $P^a$ is the 4-momentum of a particle, then the scalars above are the square-norm (1) [in the +--- signature], the square of the invariant mass of the particle $m^2$, and the energy of the particle according to the observer.
The invariance can be generated by a clever algebraic term exchange between x and t during transformation. From this backward:
Because - signs are required at different times to properly balance the term exchange, intuitively other quantities having only + terms or odd powers are not likely to work as invariants.