I’m trying to calculate the angle(s) a projectile has to be launched at in a game that has a simulated drag which reduces the velocity by 2.5% of the current velocity per tick (25 milliseconds). This is independent from it’s shape and mass.
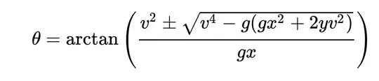
I'm given initial speed, distance and gravity. I know that theta is:
Where $v$ is the initial velocity, $x$ the distance and $y$ the initial height.
And I figured that the function of velocity for an object after it’s launched is exponentially decaying so I came up with this function:
Where v_0 is the initial speed, 2.5 is the percentage and 0.025 the tick rate.
Is there a way to account for this drag in the original formula or is there a different one? So far I only found formulas for linear drag but I'm not sure how I would incorporate this as this drag isn’t dependent on an objects mass and terminal velocity.

