I was solving a problem from the problem sets provided by MIT OCW. Here's the problem set.
I was stuck in the problem 2(g)
So, I looked at the solution to the problem and couldn't understand it.
Link to the entire solution set.
Things which I didn't get from the solution provided:
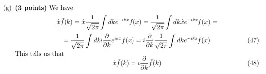
The Fourier transform should be: $$\tilde{f}(k) = \frac{1}{\sqrt{2\pi}}\int dx e^{-ikx}f(x)$$ There should be $dx$ but in the solution it is written $dk$.
If, say, there is a typo, and it should be $dx$, then we can't take the position operator inside the integral, now how to approach the problem.
And if it isn't a typo ( I need to learn more!!!), how were the following calculations obtained. $$\hat{x}e^{-ikx} = i\frac{\partial}{\partial k}e^{ikx}$$ and then in the next step there is again a minus sign in the exponential.

