Q0: What are normal modes (accoustic/optical modes) in 1d diatomic chain?
According to What are normal modes? and wiki, The most general motion of a system is a superposition of its normal modes. 'The modes are normal in the sense that they can move independently, that is to say that an excitation of one mode will never cause motion of a different mode. In mathematical terms, normal modes are orthogonal to each other.'
So mathematically, 'normal' here = 'independent', 'orthogonal' in the sense of vector spaces. Since vibrations are represented by wave(function)s, they could possibly form a vector space of functions, which makes using concepts of vector spaces here natural.
Update: Q3: why the two modes are 'orthogonal ... with respect to the inner product defined by the mass matrix'?
Are the two modes represented by eigenvectors of the (Hermitian) matrix in equ 10.5, and since 'Hermitian matrix has orthogonal eigenvectors for distinct eigenvalues', we have the above orthogonality?
But below it seems the author uses simply eigenvalues $\omega_{+,-}$ (functions of the momentum $k$) to represent the two modes. Then what is the physical meaning/significance of the eigenvectors of the (Hermitian) matrix?
It is not necessary to read what follows to answer the questions (marked as Q0, Q1, Q2; where Q0 = Q1 + Q2).
The DOF is the same as the size of independent/orthogonal basis vectors, supporting my above thoughts. (References: https://www.physics.rutgers.edu/grad/601/CM601/simon2012.pdf)
we obviously have two degrees of freedom per unit cell
The 1d diatomic chain is described by a 2*2 matrix, with 2 eigenvalues, also supporting my thoughts.
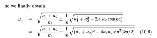
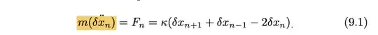
We now proceed by plugging in our ans ̈atze (Eqs. 10.3 and 10.4) into our equations of motion (Eqs. 10.1 and 10.2). We obtain (2 equations containing Ax, Ay)
...![]()
Since $\omega$ is a parameter in the dispersion relation $E(k)$, with two values of $\omega$ we obtain two dispersion relations, corresponding to two normal modes in Brillouin zone scheme. (Note that from the figure below we see when $\kappa_1 - \kappa_2 \to 0$, the two curves will be connected; in extended BZ scheme, the two curves will be one, and the 1st and 2nd BZ could be combined, and the model will converges to the monoatomic chain model.)
Q1: But since 'independent' is less restricting than 'orthogonal', is 'normal' here = 'independent' or 'orthogonal'?
Q2: Why the two modes are called accoustic/optical modes?
(I am still confused by the author's energy/momentum conservation explanation of accoustic/optical modes.)
Generally the definition of an acoustic mode is any mode that has linear dispersion as k → 0.
(the author seems to say that because when light interact with phonons, due to momentum and energy conservation, only phonons with higher energy/momentum could be involved. Phonons in accoustic modes have small $k$ in BZ nearest to 0. So only phonons in other modes would be involved and therefore called 'optical'.
(this seems to be relevant to (in)direct band and why when photons require phonons to transit from valence band to conduction band such transition can hardly happen (as discussed here). )
The following is uncessary for the question, which I put here simply to compare mono-/di-atomic chains
In 1d monoatomic chain, we calculate $E(k)$ using an differential equation (named Newton’s equation of motion) involving the frequency $\omega$, and an ansatz too.
..
..
Since $E$ is proportional to the frequency $\omega$, we get the $E(k)$ directly from $\omega$ (as a function of $k$). (Correction: $\omega$ is not a parameter in the function $E(k)$)






