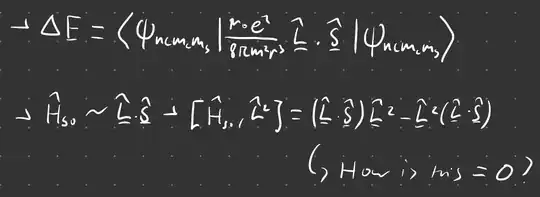
I'm trying to use pertubation theory to calculate the energy shift due to spin-orbit interaction between the electron and proton in the hydrogen atom. I'm stuck on how to proceed as this hamiltonian does not commute with L or S, however I have read somewhere that it does commute with $L^2$,$S^2$ and $J$ however I can't seem to prove this. My working is attached and my reasoning would be since the operator is squared, its order doesn't matter hence they cancel however I feel like this is not correct as the square of an operator is just another operator. Could anyone point me in the right direction? Thanks 
Asked
Active
Viewed 311 times
2
Dirac Delta Yeah
- 136