Hubble's Law, when written in this form,
$$
v = H_0D,
$$
means: if $D$ is the current distance of a galaxy, and $H_0$ the Hubble constant, then $v$ is the current recession velocity of the galaxy. So it tells you what the recession velocity of a galaxy is right now, not what it was in the past.
Basically, the Hubble Law is a consequence of the cosmological principle, i.e. that the universe on large scales is isotropic and homogeneous. This means that the expansion of the universe can be described by a single function of time, the so-called scale factor $a(t)$, so that the distance to a faraway galaxy increases over time as
$$
D(t) = a(t)D_c,
$$
where $D_c$ is a constant, called the co-moving distance to the galaxy; $D(t)$ is known as its proper distance. Also, the present-day value of $a(t)$ is set to 1 by convention, i.e. $a(t_0)=1$, so that $D(t_0) = D_c$.
If we take the derivative, then
$$
v(t) = \dot{D}(t) = \dot{a}(t)D_c = \frac{\dot{a}(t)}{a(t)}D(t) = H(t)D(t),
$$
with $v(t)$ called the recession velocity and $H(t)=\dot{a}/a$ the Hubble parameter. This is the general version of Hubble's Law at cosmological time $t$, which at the present day takes the familiar form
$$
v = H_0D,
$$
where $v=v(t_0)$, $H_0=H(t_0)$ and $D=D(t_0)$. But in this form, Hubble's Law isn't very useful: it's a purely theoretical relation, because the recession velocity of a galaxy cannot be directly observed, nor does it say anything about the expansion of the universe in the past. It only tells us how fast a galaxy is moving from us right now, if you know its current distance.
However, there's a related quantity that we can observe, namely the redshift $z$ of a galaxy, which is the change in wavelength of its photons as they travel through the expanding space:
$$
1 + z = \frac{\lambda_\text{ob}}{\lambda_\text{em}},
$$
with $\lambda_\text{em}$, $\lambda_\text{ob}$ the emitted and observed wavelength respectively.
Unlike the recession velocity, the redshift does give us information about the past, because the redshift of a photon accumulates over time, during its journey from the source galaxy to us. By comparing the redshifts of two galaxies, we can deduce information about the expansion rate in the past: suppose we observe two galaxies with distances $D_1 > D_2$ and redshifts $z_1 > z_2$, which emitted their light at times $t_1$, $t_2$ respectively. Then the difference in redshift $z_1-z_2$ will tell you how much the universe expanded in the time interval $[t_1,t_2]$.
In other words, if the expansion of the universe were decelerating, we'd see that the redshift of distant galaxies accumulated a lot in the distant past, when the expansion rate of the universe was high. However, observations showed that the expansion of the universe first decelerated and then started to accelerate again (the transition from deceleration to acceleration occurred when the universe was about 7.7 billion years old). This means that there was a time when the expansion rate was at a minimum, during which the redshift of photons increased less.
The relation between $v$ and $z$ is determined by the cosmological model. In the Standard Model, it can be shown that the observational version of the Hubble Law looks like this:
$$
H_0D = c\int_0^z\frac{\text{d}z'}{\sqrt{\Omega_{R,0}(1+z')^4 + \Omega_{M,0}(1+z')^3 + \Omega_{K,0}(1+z')^2 + \Omega_{\Lambda,0}}},
$$
where $\Omega_{R,0}$, $\Omega_{M,0}$ and $\Omega_{\Lambda,0}$ are the fraction of radiation, matter and dark energy in the present-day universe, and $\Omega_{K,0} = 1 - \Omega_{R,0} - \Omega_{M,0} -\Omega_{\Lambda,0}$ describes the curvature of space.
Early observations and inflation models suggested that the curvature of space is close to zero, which would mean that $\Omega_{M,0}\approx 1$ if there's no dark energy (the contribution of radiation is negligible). On the other hand, dynamical studies of galaxy clusters indicated that $\Omega_{M,0}\approx 0.3$. Furthermore, models without dark energy led to a 'cosmic age' paradox: the calculated age of the universe in these models was less than the age of the oldest observed stars (see Krauss 1995 for a review). These issues were resolved in 1998 when two teams applied Hubble's Law to a sample of supernovae, comparing their distance and redshift, which offered clear evidence for dark energy, with $\Omega_{M,0}\approx 0.3$ and $\Omega_{\Lambda,0}\approx 0.7$, and a Hubble constant $H_0\approx 65\;\text{km}\,\text{s}^{-1}\,\text{Mpc}^{-1}$. These values have been further refined by CMB observations.
The effect of dark energy can be seen in this figure:

Here, I've set $\Omega_{R,0}=0$ and $H_0 = 63.7\;\text{km}\,\text{s}^{-1}\,\text{Mpc}^{-1}$ (the most recently obtained value). The red curve is a model with dark energy. As you can see, for a given distance the corresponding redshift is much lower than in models without dark energy, i.e. without acceleration.
Extra info
It's interesting to examine these models in more detail. Once the values of the cosmological parameters are fixed, the evolution of the universe can be calculated. In particular, the cosmic time can be written as a function of the scale factor:
$$
t(a) = \frac{1}{H_0}\int_0^a\frac{a'\text{d}a'}{\sqrt{\Omega_{R,0} + \Omega_{M,0}\,a' + \Omega_{K,0}\,a'^2 + \Omega_{\Lambda,0}\,a'^4}},
$$
which can be inverted to yield $a(t)$, and thus also $\dot{a}(t)$ (see also this post and this post). The age of the universe is $t_0=t(1)$, and we find that $t_0 =$ 14.0, 11.8, and 9.7 billion years for $(\Omega_{M,0},\Omega_{\Lambda,0})= (0.3,\,0.7), (0.3,\,0.0), (1.0,\,0.0)$ respectively. In other words, dark energy increases the age of the universe (which also solves the age paradox previously mentioned). This is a crucial point, as I will show below.
Furthermore, there's a simple relation between the redshift of light and the scale factor: if a photon is emitted at a time $t_\text{em}$, then its redshift will accumulate as
$$
z(t) = \frac{a(t)}{a(t_\text{em})} - 1,
$$
so that its present-day observed redshift is $z = 1/a(t_\text{em})-1$ (see wikipedia for a derivation). In other words, the observed redshift of a photon tells us when it was emitted.
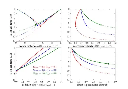
Let's apply this to a particular galaxy. Suppose we have a galaxy at a present-day distance $D = 10$ billion lightyears. We then have the following situation:

The first graph shows the proper distance of the galaxy and its light $D(t)=a(t)D$ as a function of lookback time $t_0-t$. In all three cases, $D(t)=0$ corresponds with the 'big bangs' of these models.
The change from dotted lines to solid lines indicate the moment $t_\text{em}$ at which the galaxies emitted the photons that we observe today; the dashed lines are the paths of those photons. In all three models, the photons were emitted about 7 billion years ago. But the corresponding scale factors $a(t_\text{em})$ are very different: $a(t_\text{em})=0.54,\,0.48,\,0.43$ for the red, blue, green models respectively. This is a direct consequence of the different age of the universe in the three cases.
This immediately explains the redshifts shown in the graph below: the present-day redshift of the light is $z=0.86,\,1.1,\,1.3$ in the respective models, i.e. the observed redshift is much lower in the dark energy model.
Although it's not very clear, the red curve of $D(t)$ has an inflection point about 6 billion years ago, corresponding with the moment when $\ddot{a}=0$ and the expansion of the 'red' universe began accelerating. This is much clearer in the top right graph, showing the recession velocity $v(t)=\dot{a}(t)D$. In all three cases, $v(t)$ was much higher in the past, which means that the expansion has been decelerating. But in the dark energy case, $v(t)$ reached a minimum value around 6 billion years ago, and began to increase again. This is the effect of recent acceleration due to dark energy.
However, note that $v(t)$ is much lower in the dark energy universe. Again, this is a consequence of the age of the universe in the models: it took 14 billion years for $a(t)$ to increase from 0 to 1 in the red model, while it took only 9.7 billion years in the green model. As a consequence, $\dot{a}$ is much lower in the former case.
Finally, the last graph shows the Hubble parameter $H(t)=\dot{a}/a$, showing that even in the accelerating universe $H(t)$ decreases.
To summarise, the influence of dark energy determines the redshift, proper distance and the recession velocity over time, but it's not really its effect on the accelerating expansion that's important, but rather its effect on the age of the universe.
As a final note, the proper distance of a galaxy isn't directly observed. It can be derived from its so-called luminosity distance (comparing the apparent brightness and intrinsic luminosities of supernovae). So we should actually compare the evolution of a galaxy with a fixed present-day luminosity distance in different models rather than a fixed proper distance, but this doesn't change the argument.