See the bottom section for a discussion of the posted answer.
My question is at the end of this section, above the horizontal rule.
Warning: my use of proper time $\Delta\tau$ and proper distance $\Delta s$ are a bit tricky in the following. I am resolving arbitrary intervals in the $\bar{\mathcal{S}}$ system into sums of space-like and time-like components, along the $\bar{\mathcal{S}}$ basis vectors.
The goal is to establish a formula transforming components $\left\{ \Delta\bar{t},\Delta\bar{x}\right\} $ of space-time intervals given in the platform $\bar{\mathcal{S}}$ inertial coordinate system to components $\left\{ \Delta t,\Delta x\right\} $ of the onboard $\mathcal{S}$ inertial coordinate system when $\mathcal{S}$ moves with speed $v$ in the positive $x$ direction relative to $\bar{\mathcal{S}}$. Based on the assumption that space-time is homogeneous we know our transformation must be linear, which leads to the formal matrix equation
$$ \begin{bmatrix}\mathrm{c}\Delta t\\ \Delta x \end{bmatrix}=\begin{bmatrix}e^{t}{}_{\bar{t}} & e^{t}{}_{\bar{x}}\\ e^{x}{}_{\bar{t}} & e^{x}{}_{\bar{x}} \end{bmatrix}\begin{bmatrix}\mathrm{c}\Delta\bar{t}\\ \Delta\bar{x} \end{bmatrix}. $$
The plan is to first treat the case in which $\Delta\bar{x}=0$ in order to establish the first column of our transformation matrix. Then we treat the case of $\Delta\bar{t}=0$ to get the second column.
By purely formal considerations we establish for the case of $\Delta\bar{x}=0,\Delta\bar{t}=\Delta\tau$ the following
$$ \begin{bmatrix}\mathrm{c}\Delta t\\ \Delta x \end{bmatrix}=\begin{bmatrix}e^{t}{}_{\bar{t}} & e^{t}{}_{\bar{x}}\\ e^{x}{}_{\bar{t}} & e^{x}{}_{\bar{x}} \end{bmatrix}\begin{bmatrix}\mathrm{c}\Delta\bar{t}\\ 0 \end{bmatrix}=\mathrm{c}\Delta\bar{t}\begin{bmatrix}e^{t}{}_{\bar{t}}\\ e^{x}{}_{\bar{t}} \end{bmatrix}=\mathrm{c}\Delta\tau\begin{bmatrix}e^{t}{}_{\bar{t}}\\ e^{x}{}_{\bar{t}} \end{bmatrix} $$
$$ \mathrm{c}\Delta t=e^{t}{}_{\bar{t}}\mathrm{c}\Delta\bar{t}=e^{t}{}_{\bar{t}}\mathrm{c}\Delta\tau $$
$$ \implies e^{t}{}_{\bar{t}}=\frac{\Delta t}{\Delta\bar{t}}=\frac{\Delta t}{\Delta\tau} $$
$$ \Delta x=e^{x}{}_{\bar{t}}\mathrm{c}\Delta\bar{t}=-v\Delta\bar{t} $$
$$ \implies e^{x}{}_{\bar{t}}=\frac{\Delta x}{\mathrm{c}\Delta\bar{t}}=-\frac{v}{\mathrm{c}}\frac{\Delta t}{\Delta\tau}=-\frac{v}{\mathrm{c}}e^{t}{}_{\bar{t}}. $$
And for the case of $\Delta\bar{t}=0,\Delta\bar{x}=\Delta s>0$ we have
$$ \begin{bmatrix}\mathrm{c}\Delta t\\ \Delta x \end{bmatrix}=\begin{bmatrix}e^{t}{}_{\bar{t}} & e^{t}{}_{\bar{x}}\\ e^{x}{}_{\bar{t}} & e^{x}{}_{\bar{x}} \end{bmatrix}\begin{bmatrix}0\\ \Delta\bar{x} \end{bmatrix}=\Delta\bar{x}\begin{bmatrix}e^{t}{}_{\bar{x}}\\ e^{x}{}_{\bar{x}} \end{bmatrix}=\Delta s\begin{bmatrix}e^{t}{}_{\bar{x}}\\ e^{x}{}_{\bar{x}} \end{bmatrix} $$
$$ \mathrm{c}\Delta t=e^{t}{}_{\bar{x}}\Delta\bar{x}=e^{t}{}_{\bar{t}}\mathrm{c}\Delta s $$
$$ \implies e^{t}{}_{\bar{x}}=\frac{\mathrm{c}\Delta t}{\Delta\bar{x}}=\frac{\mathrm{c}\Delta t}{\Delta s} $$
$$ \Delta x=e^{x}{}_{\bar{x}}\Delta\bar{x}=e^{x}{}_{\bar{x}}\Delta s $$
$$ \implies e^{x}{}_{\bar{x}}=\frac{\Delta x}{\Delta\bar{x}}=\frac{\Delta x}{\Delta s}. $$
Combining results and introducing the abbreviations $\gamma=\Delta t/\Delta\tau$ and $\beta=v/\mathrm{c}$ gives
$$ \begin{bmatrix}e^{t}{}_{\bar{t}} & e^{t}{}_{\bar{x}}\\ e^{x}{}_{\bar{t}} & e^{x}{}_{\bar{x}} \end{bmatrix}=\begin{bmatrix}\frac{\Delta t}{\Delta\bar{t}} & \frac{\mathrm{c}\Delta t}{\Delta\bar{x}}\\ \frac{\Delta x}{\mathrm{c}\Delta\bar{t}} & \frac{\Delta x}{\Delta\bar{x}} \end{bmatrix}=\begin{bmatrix}\gamma & \frac{\mathrm{c}\Delta t}{\Delta s}\\ -\beta\gamma & \frac{\Delta x}{\Delta s} \end{bmatrix}. $$
Using a scenario in the case of $\Delta\bar{x}=0,$ we find an expression for $\gamma$ in terms of the boost speed $v$. For simplicity we shall assume the coordinates of our initial event are all zero, and the $z$ direction is not involved. We also use the principle of relativity to equate transverse components. Thus
$$ 0=t_{o}=\bar{t}_{o}=x_{o}=\bar{x}_{o}=y_{o}=\bar{y}_{o}=z $$
$$ y=\bar{y} $$
$$ \Delta\bar{t}=\bar{t}-\bar{t}_{o}=\bar{t} $$
$$ \Delta t=t-t_{o}=t,\text{etc.} $$
Consider the initial event $\mathcal{E}_{o}$ to be the emission of a flash of light, and the terminating event $\mathcal{E}_{\tau}=\left\{ \bar{t}=\tau,\bar{x}=0,\bar{y}=y=\mathrm{c}\tau\right\} $ to be its detection by a device located directly above the source in the platform system. In the onboard system, the detector is seen to move by $x=-vt;$ so the light travels along the hypotenuse of length $h=\mathrm{c}t.$ From this we get
$$ h=\mathrm{c}t=\sqrt{x^{2}+y^{2}}=\sqrt{\left(-vt\right)^{2}+\left(\mathrm{c}\tau\right)^{2}} $$
$$ t^{2}\left(1-\beta^{2}\right)=\tau^{2} $$
$$ \frac{t}{\tau}=\frac{1}{\sqrt{1-\beta^{2}}}=\gamma $$
The next step is where I get stuck. The objective is to establish expressions for the second column independently of my derivation of those for the first column. I need a scenario in which two events are simultaneous in $\bar{\mathcal{S}},$ separated by $\Delta\bar{x}=\Delta s.$ From that I want to find the values for the second column.
Here's my current effort:
Let event $\mathcal{E}_{o}=\left\{ \bar{t}_{o}=0,\bar{x}_{o}=0\right\} $ be the emission of a flash from the center of the platform such that it arrives at the ends of the platform (events $\mathcal{E}_{r}$ at the rear and $\mathcal{E}_{f}$ at the front) as the center of the train coincides with the emitter $\mathcal{E}_{a}$. Since the center of the train is to the left of the source event, the onboard time $\Delta t_{f}$ that the flash takes to reach the front of the platform will be less than the time $\Delta t_{r}$ that the flash takes to reach the rear of the platform. From this we conclude that $t_{f}<t_{a}<t_{r}.$ Arguing on the basis of homogeneity and symmetry, we also conclude that $t_{r}-t_{a}=t_{a}-t_{f}.$
In order to keep track of things, lets put marks on the train recording the $\mathcal{S}$ 3-space locations of $\mathcal{E}_{o},\mathcal{E}_{r},\mathcal{E}_{f}$. On the platform $\bar{x}$ coordinate values are measured from the center of the platform. Likewise, the onboard $x$ values are measured from the center of the train. We can set the onboard clock to zero at the time of $\mathcal{E}_{o}=\left\{ t_{o}=0,x_{o}=-vt_{a}\right\} .$ At time $\bar{t}_{a}$ the platform observer system measures the $\bar{x}$ separations of the marks on the train. These ratios of those distances will be the same as the corresponding ratios of the onboard proper distances between the marks.
In the drawing, the onboard system is red. The platform is blue, and light is yellow.
Can this be done without resorting to the use of a transverse displacement?
My Diagram of the Scenario in the Answer
I labeled things differently, but an interested reader should be able to sort things out. My diagram only treats the first part of the answer. The takeaway is that the two heavy-lined triangles are "spacetime similar".
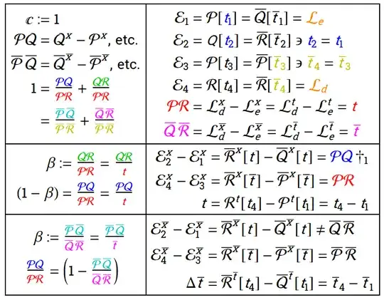
This is a table of equations relating features of the diagram. Fixed points in the "stationary" frame $\mathscr{S}$ are represented by the worldlines $\mathcal{P,Q,R}.$ Fixed points in the "moving" $\bar{\mathscr{S}}$ frame are $\mathcal{\bar{P},\bar{Q},\bar{R}}.$ Superscripts indicate components, and their decoration indicates the inertial system the component is resolved in. So (with $y,z$ dimensions suppressed), for example, $\bar{\mathcal{P}}^{x}\left[t_{4}\right]$ is the 3-space $\mathscr{S}$ position of the point (worldline) $\bar{\mathcal{P}}$ resting in $\bar{\mathscr{S}}$ at the $\mathscr{S}$ time $t_4$ of event $\mathcal{E}_4.$ Observe that $\bar{\mathcal{P}}\left[t_{4}\right]$ is the unlabeled event at the intersection of the $\bar{\mathcal{P}}$ worldline and the line connecting events $\mathcal{E}_4$ and $\mathcal{E}_5,$ just above the heavy red line. Events $\mathcal{L}_{e}$ and $\mathcal{L}_{d}$ are light emission and light detection, respectively.
$\dagger_{1}$ Omitting the subscript on the time parameter says that the measurement is constant over time.
This is a table summarizing key relationships, and relating different forms of notation. The right two boxes relate my symbols to those used in the posted answer.
And, finally, a rewrite of the first steps of calculation in the posted answer. This should take you far enough to appreciated the "spacetime similar triangles" argument.





