I need to evaluate the following expectation value $$ \langle \alpha \vert (\hat{a}+\hat{a}^\dagger)^n \vert \alpha\rangle $$ The formulation is very easy, but I can not tackle the problem. Any hint?
3 Answers
A general parameter $n$ involves hypergeometric functions.
For that expression, we make one observation that in natural unit, the position operator $\hat x$ can be written as follows $$\hat x = \frac{1}{{\sqrt 2 }}\left( {\hat a + {{\hat a}^\dagger }} \right) \tag{1}\label{posop}.$$
We also need the position-representation of a general coherent state $|\alpha\rangle$
$$\alpha(x) = \left\langle {x} \mathrel{\left | {~ \alpha } \right. } \right\rangle = {\pi ^{ - 1/4}}\exp \left[ { - \frac{{{{\left( {x - \sqrt 2 {\alpha _1}} \right)}^2}}}{2} + ix\sqrt 2 {\alpha _2}} \right],$$ with the complex number $\alpha = \alpha_1+i\alpha_2$.
Now we have all the ingredients for the solution.
The quantity we are after reads $$\mathcal{I} = \left\langle \alpha \right|{\left( {\hat a + {{\hat a}^\dagger }} \right)^n}\left| \alpha \right\rangle = {2^{n/2}}\left\langle \alpha \right|{{\hat x}^n}\left| \alpha \right\rangle \tag{2}\label{ans},$$ where we have used Eq. \eqref{posop} for the position operator.
Now we insert an identity inside Eq. \eqref{ans} as follows \begin{align} \mathcal{I} &= \int {dx \cdot } \left\langle \alpha \right|{\left( {\hat a + {{\hat a}^\dagger }} \right)^n}\left| x \right\rangle \left\langle {x} \mathrel{\left | {\vphantom {x \alpha }} \right.} {\alpha } \right\rangle , \\ & = {2^{n/2}} \cdot { } \int {dx \cdot } \left\langle \alpha \right|{{\hat x}^n}\left| x \right\rangle \alpha \left( x \right), \\ & = {2^{n/2}} \cdot { } \int {dx \cdot } {x^n}\left\langle {\alpha } \mathrel{\left | \right. } {x} \right\rangle \alpha \left( x \right), \\ & = {2^{n/2}} \cdot { } \int {dx \cdot } {x^n}\cdot{\alpha ^*}\left( x \right)\alpha \left( x \right), \\ & = {2^{\frac{n}{2} - 1}}\left[ {\left( {{{\left( { - 1} \right)}^n} + 1} \right)\Gamma \left( {\frac{{n + 1}}{2}} \right){}_1{F_1}\left( { - \frac{n}{2};\frac{1}{2}; - 2{\alpha _1}^2} \right) - \sqrt 2 {\alpha _1}\left( {{{\left( { - 1} \right)}^n} - 1} \right)n\Gamma \left( {\frac{n}{2}} \right){}_1{F_1}\left( { - \frac{n}{2} + \frac{1}{2};\frac{3}{2}; - 2{\alpha _1}^2} \right)} \right], \end{align}
where $_1{F_1}$ is the hypergeometric function.
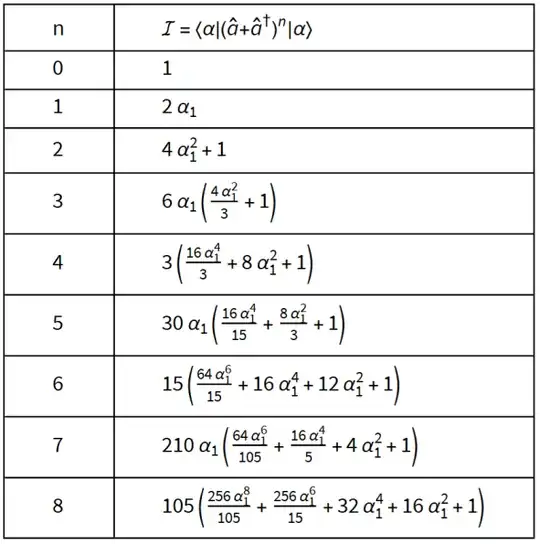
For the first few values of $n$, the expression read as follows:

Some properties of the above table, for the final expression of $\mathcal{I}$ in Eq. \eqref{ans}, are listed here.
- It is always real, since the operator $({\hat a + {{\hat a}^\dagger }})^n$ is Hermitian for any $n$.
- The final expression does not depend on the imaginary part of $\alpha$, since the position and momentum coordinates are decoupled in an idealized coherent state. An interesting thing would be to couple these two degrees of freedom (position and momentum), e.g., via spin-orbit interaction, and look at the moments of the respective operators.
- For $\alpha_1=0$, i.e., a coherent state at the origin of the phase space, the expression is tractable. It becomes zero for odd values of $n$, and for even values of $n$ it reads $\mathcal{I} = (n-1)!!$.
- 509
The coherent state $$ |\alpha\rangle = \exp(\alpha \hat{a}^\dagger)|0\rangle $$ as a function of $\alpha$ satisfies the following equation, $$ (\hat{a}+\hat{a}^\dagger)|\alpha\rangle = \left (\alpha+\frac{\partial}{\partial\alpha}\right )|\alpha\rangle . $$ Hence, the following relation is valid, $$ \langle\beta|(\hat{a}+\hat{a}^\dagger)^n|\alpha\rangle = \left (\alpha+\frac{\partial}{\partial\alpha}\right)^n\exp(\beta^*\alpha) $$ for any $\beta$ and $\alpha$.
Now, considering $\alpha^*$ independent of $\alpha$, for the expectation value, we obtain $$ \exp(-\alpha^*\alpha)\left(\alpha+\frac{\partial}{\partial\alpha}\right )^n\exp(\alpha^*\alpha) = \left (\alpha+\alpha^*+\frac{\partial}{\partial\alpha}\right )^n\ 1. $$ In mathematics & probability, the Hermite polynomials are defined by the following relation, $$ H_n(x) = (-1)^n \exp(x^2/2)\frac{d^n}{dx^n}\exp(-x^2/2) = \left (x-\frac{d}{dx}\right )^n\ 1. $$ Thus, it is easy to see that the answer to the question is $$ i^n H_n\left(\frac{\alpha+\alpha^*}i\right). $$
This answer coincides with that given by Mehedi Hasan for $n = 0,\dots,8$.
- 67,623
- 7,419
- 3
- 14
- 34
There is an identity, associated with the Baker-Campbell-Hausdorff-formula, written as $$ \exp(\hat{X})\hat{Y}\exp(-\hat{X})=\hat{Y}+[\hat{X},\hat{Y}] +\frac{1}{2!}[\hat{X},[\hat{X},\hat{Y}]]+... $$ It will allow you to solve the problem if you express the coherent states in terms of displacement operators operating on the vacuum.
- 16,824