There is a question in my textbook. If a massless inextensible string is pulled on with a force of $10 N$, at both ends, what is the tension in the string?
It’s a very common question. The answer is $10 N$, cf. e.g. this & this Phys.SE posts. It can be proved using Newton’s $2nd$ and $3rd$ law. If we think of the string as a series of links in a chain, for example, or if we think about the adjacent molecules in the string, then we can prove using Newton’s $2nd$ and $3rd$ law that tension in the string is $10N$ at each point along its length.
But what if we pulled on the ends of the string with forces of unequal magnitudes? This question occurred to me and I kind of got confused. My intuition says that the string has a net force acting on it, and hence it would accelerate. But because the string is massless, Newton’s 2nd law did not help me understand this situation. My question is,
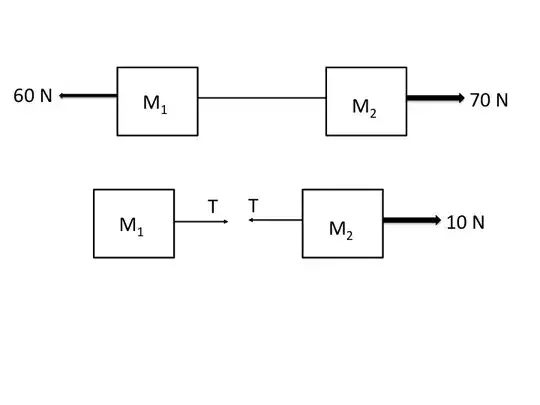
If we pull on the ends of a string that is massless and inextensible, with forces of $60N$ and $70N$ respectively, what would be the tension in the string?
Will it be $60N$? Will it be $70N$?
I gave it some thought, and I thought this situation is similar to an atwood machine, two masses $6kg$ and $7kg$ respectively, hanging from a pulley. The pulley is massless and frictionless. The string is massless and inextensible. Because of gravity, one end of the string is being pulled on with $60N$, and the other end is being pulled on with $70N$, isn’t this situation similar? If I work out the tension in the string using $T$ = $\frac{2m_1m_2g}{m_1 + m_2}$, it gives $T$ = $64.6N$.
So can I say that If we pull on the ends of a string that is massless and inextensible, with forces of $60N$ and $70N$ respectively, tension in the string would be neither $60N$, nor $70N$, but somewhere in between ($64.6N$)?
