11

[Diagram[1]

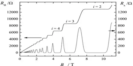
Let's focus on the longitudinal resistance, I have two confusions:

  1. Why it shows spike like feature every time the hall conductance jumps?
  2. Why its amplitude grows when the magnetic field grows?

I find some literature says when the Landau level is half filled with electrons, the peak shows. Why?

Qmechanic
  • 220,844
an offer can't refuse
  • 6,436
  • 5
  • 39
  • 62

3 Answers3

9

At the plateaus, the Landau levels are completely filled and the system is gapped in terms of charge transport. Therefore at low temperatures $\sigma_{xx}=0$. For longitudinal resisitivity, note that $$ \rho_{xx}=\frac{\sigma_{xx}}{\sigma_{xx}^2+\sigma_{xy}^2}, $$ so when $\sigma_{xx}=0$ and $\sigma_{xy}\neq 0$, we have $\rho_{xx}=0$. Therefore, the only place where $\rho_{xx}$ can be nonzero is in between the plateaus (this corresponds to a partially filled Landau level), hence the spikes.

For your second question, Assume that $\sigma_{xx}\ll \sigma_{xy}$. With increasing $B$ the filling fraction $\nu$ decreases, and $\sigma_{xy}$ decreases. From the equation above $\rho_{xx}$ increases.

pathintegral
  • 1,572
7

Intuitive answer.

At the plateau, the Landau levels are filled. There are no available states for particles to scatter into. So they can only do the skipping orbit at the edge, which is hence dissipationless.

At the jump, Landau levels are not full. More final states are available for the electrons, so they can scatter in random directions. This introduces dissipation.

The degeneracy of the Landau levels (# of states in them) grows as B, as the cyclotron orbit shrinks and “you can fit more of them”. Hence for large B, more states, more dissipation.

SuperCiocia
  • 25,602
3

The area between two Landau levels (in k-space) can be calculated to be $\frac{2\pi eB}{\hbar}$ and the degeneracy of Landau levels can be calculated to be $\frac{BA}{\Phi}$ where $\Phi = \frac{2\pi \hbar}{e}$ is the magnetic flux quantum and $A$ is the area in real space (this is the number of localized cyclotron orbits that fit into the sample area A).

As is apparent from the expressions, both area between two Landau levels and the degeneracy of Landau levels increase linearly with the magnetic field $B$. So, as you increase $B$, the Landau levels grow in the k-space and at some value of $B$, the Landau level will cross the Fermi surface of the metal. When this happens, the electrons look to redistribute themselves into an energetically more favorable configuration and hence scatter into the lower Landau levels (which are still below the Fermi surface). This is possible now since the degeneracy of Landau levels also increases with the magnetic field.

This scattering is precisely what gives rise to the peak and this happens exactly when the Landau levels cross the Fermi surface. It again falls back to zero since, once the (lower) Landau levels get filled, there is again nowhere to scatter to. The amplitude of the peaks grows with $B$ since the degeneracy of the Landau levels grows with $B$ and hence there are more states to scatter into when $B$ is higher.

This is an animation I found in the Wikipedia page of Quantum Hall Effect which should make things clearer.

This phenomenon is called the Shubnikov-de Haas effect and is used to map the Fermi surface of metals by applying magnetic fields in various orientations and then determining the period of the oscillations.