I have a statement that the path integrals formalism is eqivalent to operator formalism in quantum mechanics. Is it a correct statement?
I understand that each of these two formalisms has its advantages. Sometimes a problem can be easily solved in the operator formalism than using path integrals, and for certain others, it would be the opposite. But, are they equivalent?
The problem is the following. Suppose there exists a particle which interacts with a harmonic oscilator. $$ H=\frac{P^2}{2M} + V(X) + \frac{p^2}{2m}+ \frac{x^2}{2m} +\alpha x X $$ where $x$,$p$ is a coordinate and momentum of harmonic oscilator, $X$,$P$ is a coordinate and momentum of a particle.
If I want to investigate only a particle with coordinate $X$ and don't care what will be with a harmonic oscillator, I can integrate out over harmonic oscillator coordinate $x$ in path integral formalism and obtain some action, which will depend on $X$ and $\dot X$.
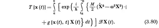
The above is an image of Feynman's book, "Quantum Mechanics and Path Integrals." In this picture, $X$ and $x$ correspond to harmonic oscillator coordinate, thus opposite to my convention. I want to obtain the same or equivalent quantity but using operators. How can I obtain the same thing in the operator formalism?

