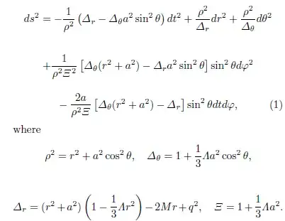
I am reading this paper about "Hawking radiation of Kerr-Newman-de Sitter black hole", where the authors find Hawking temperature of this metric
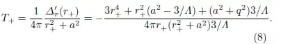
The authors state that hawking temperature is given by
The problem is I am not sure how
gives
. I have differentiated $\Delta_{r}$ with respect $r$ and did not get the same result. How did the author get the term on the RHS of equation $(8)$?
Thanks.

