154

I know the spent fuel is still radioactive. But it has to be more stable than what was put in and thus safer than the uranium that we started with. That is to say, is storage of the waste such a big deal? If I mine the uranium, use it, and then bury the waste back in the mine (or any other hole) should I encounter any problems? Am I not doing the inhabitants of that area a favor as they will have less radiation to deal with than before?

Anthony B
  • 1,493

8 Answers8

142

Typical nuclear power reactions begin with a mixture of uranium-235 (fissionable, with a half-life of 700 Myr) and uranium-238 (more common, less fissionable, half-life 4 Gyr) and operate until some modest fraction, 1%-5%, of the fuel has been expended. There are two classes of nuclides produced in the fission reactions:

  1. Fission products, which tend to have 30-60 protons in each nucleus. These include emitters like strontium-90 (about 30 years), iodine-131 (about a week), cesium-137 (also about 30 years). These are the main things you hear about in fallout when waste is somehow released into the atmosphere.

    For instance, after the Chernobyl disaster, radioactive iodine-131 from the fallout was concentrated in people's thyroid glands using the same mechanisms as the usual concentration natural iodine, leading to acute and localized radiation doses in that organ. Strontium behaves chemically very much like calcium, and there was a period after Chernobyl when milk from dairies in Eastern Europe was discarded due to high strontium content. (Some Norwegian reindeer are still inedible.)

  2. Activation products. The reactors operate by producing lots of free neutrons, which typically are captured on some nearby nucleus before they decay. For most elements, if the nucleus with $N$ neutrons is stable, the nucleus with $N+1$ neutrons is radioactive and will decay after some (possibly long) time. For instance, neutron capture on natural cobalt-59 in steel alloys produces cobalt-60 (half-life of about five years); Co-60 is also produced from multiple neutron captures on iron.

    In particular, a series of neutron captures and beta decays, starting from uranium, can produce plutonium-239 (half-life 24 kyr) and plutonium-240 (6 kyr).

What sometimes causes confusion is the role played by the half-life in determining the decay rate. If I have $N$ radionuclides, and the average time before an individual nuclide decays is $T$, then the "activity" of my sample is $$ \text{activity, } A= \frac NT. $$

So suppose for the sake of argument that I took some number $N_\mathrm{U}$ of U-238 atoms and fissioned them into $2N_\mathrm{U}$ atoms of cobalt-60. I've changed by population size by a factor of two, but I've changed the decay rate by a factor of a billion.

The ratio of the half-lives $T_\text{U-238} / T_\text{Pu-240}$ is roughly a factor of a million. So if a typical fuel cycle turns 0.1% of the initial U-238 into Pu-240, the fuel leaves the reactor roughly a thousand times more radioactive than it went in --- and will remain so for thousands of years.

tkp
  • 129
rob
  • 96,301
67

But it has to be more stable

That's where you're wrong. Most of the decay products are much more radioactive than the $\rm U^{235}$ that was used in the reactor. Uranium is not very dangerous at all. I have held a uranium rod in my hand. Admittedly it was a) coated in nickel and b) $\rm U^{238}$ which is less radioactive than $\rm U^{235}$.

The energy released in the reactor is not the radioactivity of the $\rm U^{235}$. Instead, the energy is generated by an artificial splitting of the $\rm U^{235}$ nucleus by impact from neutrons. The reaction products have a smaller combined mass than the $\rm U^{235}$ had, and the difference in mass is converted into energy.

These fission products tend to be very unstable, so they decay rapidly and release a lot of radiation in the process. They include isotopes like strontium $\rm Sr^{90}$ and cesium $\rm Cs^{137}$. Both have a half-life of about 30 years. On top of that, $\rm Sr$ is taken up by the body as a replacement for calcium, so all its radiation is released inside the body.

As most of the fission products decay fairly rapidly, their danger also diminishes quickly. However, the word "quick" is relative. For example, 30 years is long in human terms but very fast compared to the half-life of $\rm U^{235}$, 700,000,000 years. Hence, especially the initial containment is crucial but, since other reaction products have half-lives measured in millennia, long-term storage is also very important.

rob
  • 96,301
hdhondt
  • 11,338
16

First, the output of a reaction is not necessarily less dangerous or at least as dangerous as it's input. Take dynamite for example(*): glycerin is a rather harmless material; nitric acid is a strong acid for sure, but still not as dangerous as the resulting nitroglycerin (active element of dynamite) that results from the reaction of those 2.

In a nuclear reactor, input fuel is a mixture of mostly uranium 238 ($\rm ^{238}U$ a very mild radioactive material), 2-3% uranium 235 ($\rm ^{235}U$ which is more radioactive than $\rm ^{238}U$, though radioactively very mild when compared with other radioactive materials, plenty of then will result from the fission reaction or split of this nucleus), and others.

To produce energy, a nuclear reactor splits $\rm ^{235}U$ nuclei into some lighter elements (this is the source of power, not its radioactivity). Almost all of the resulting elements are radioactive themselves, with their own radioactive properties. This is only part of the origin of the radioactive materials of a reactor’s waste.

The other part appears from a process known as activation. By this process, previously non-radioactive materials from the fuel rod will also become radioactive.

Combined, the waste result of a nuclear reactor is far more dangerous than the input fuel. As a matter of fact, when the fuel is inserted into the reactor, workers handle it directly, just using special gloves (not necessarily too thick or with a lot of protective material as lead). However, removing it from the reactor must be done remotely.

(*) This is just an analogy. nuclear reactions are a totally different process from chemical reactions. Still, the point is, products are not necessarily safer than inputs.

J. Manuel
  • 2,241
8

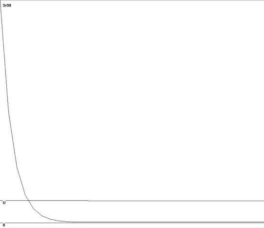
The mistake here is a confusion between the total energy contained, and the rate at which energy is currently being released.

As we all know, radioactive materials have half lives. That's the length of time necessary for approximately half of a mass to decay. That leads to a curve that asymptotically approaches 0.

enter image description here

[Note: the curves aren't really scaled well to each other--to scale them properly, if I drew the Strontium curve to fit on a typical screen, the Uranium curve would still be less than one pixel away from the 0 line at the bottom.]

So, the total energy that can be released by radioactive decay for some material corresponds to the area under the curve for that material. The current level of radioactivity corresponds to the current height of the curve.

Here I've drawn a (semi-accurate) curve for Strontium 90. Each horizontal pixel (as I originally drew it--it's been scaled down a bit here) corresponds roughly to one year. So, the Strontium 90 starts at a very high level of radioactivity. But it's decaying quite rapidly; within a few hundred years the vast majority of it has decayed, so it no longer contains much potential energy. Toward the left side of the curve, the curve is very high, but it drops rapidly, and the total area under the curve is fairly small, signifying a relatively small total quantity of energy.

The lower curve labeled "U" is a (less accurate) curve for Uranium. It sits a lot lower, reflecting the fact that much less energy is being released at the beginning--but the area under the curve is much greater, because it drops so much more slowly.

So, when material is used as fuel in a reactor, it's absolutely true that energy has been released, so the waste is materials with less area under the curves. Nonetheless, much of the waste is material like Strontium 90 at the far left side of the graph, with a high level of radioactive emissions.

Jerry Coffin
  • 725
  • 4
  • 9
3

So a nuclear reactor wants to generate easy to capture kinetic energy and convert it to heat, then to power.

What you do is you put products whose rate of decay can be tuned easily, and who produce such easy to capture energy when they split.

The "bad" products produced may decay, but they might not be as easily controlled, they might mess with making the primary fuel source easily controlled, or they might release their energy in ways that are more annoying to capture. Some are delayed neutron emitters, some absorb neutrons and don't split and "poison" the reaction.

As these products build up, the ability for the reactor to control the rate of fission in the rod goes down. Eventually the rod is more trouble than it is worth; it is reprocessed, with the annoying fission products concentrated to be discarded, and used to build new rods.

Now, uranium we are using has been around for billions of years. If it had a short half life, it wouldn't be around any more. But these fission products are, in a sense, random configurations of protons and neutrons; as most such configurations are not stable, neither are they.

Extremely short lived ones basically decay within the reactor. But medium length ones are far more unstable and generate more "passive" radiation than the uranium we use does, because they aren't "pre-filtered" nucleus arrangements that have lasted billions of years since they where formed in some supernova.

Randomly shove protons and neutrons together, and they don't stick. Only some do. Short lived arrangements of such are rare on Earth, because we got our atoms from many-billion-year-old stars going boom and depositing whatever they manufactured in their core before they exploded. The ones we do have are generally generated as decay product from longer-lived atoms.

When we build a reactor, we induce "unnatural" levels of fission in the fuel. This generates decay products, most of which are short-lived. They might not be as reactive as the artificially induced reaction rates of the fuel in the special environment; but they are probably going to be much nastier than the "normal" radioactivity of the fuel going in.

We induce the "unnatural" levels of fission by carefully messing with moderation and volumn and density so that some "natural" decay process induces more decay.

For example, suppose a slow moving neutron hitting an atom causes it to break in two and release 2 other neutrons 10 ns later.

If we arrange it so that 51% of the released neutrons are themselves captured within 10 ns, then every 20 ns the number of neutrons absorbed goes up by 2%.

In 1 millisecond, 1.02^100000 are being absorbed every 10 ns, or 10^860.

If it is 50.001% capture, after 1 ms the rate hits 50 million/ns.

These are not realistic numbers (more like 7 ns per generation), they just describe how a slighly exponential growth in an event could lead to arbitrarily high reaction rates.

In a non-nuclear bomb, but instead a reactor, we don't want this to happen. Instead, we arrange it so that as the neutron flux goes up, the reaction rate goes down, and vice versa. Very carefully. Then tune it so that just the right rate of reaction occurs.

A "melt down" happens when things go exponential long enough that enough energy is produced that they can no longer shut the reactor down. The fuel melts, the containment vessel breaks; as the moderator doesn't usually join in or is destroyed by the melt down, the reaction stops growing exponentially. (This is part of good reactor design; that even a complete failure results in at worst a radiation spike, not a large nuclear explosion).

Part of how we arrange for the neutrons to be captured at the right rate is by introducting matter that "slows" neutrons down so they can be more easily captured (and less likly to bounce off atoms elastically), and carefully controlling the amount of fuel there is in the region.

So reactors are far from a "natural" environment, and we carefully tune exponential run-away processes to generate energy. Outside of those carefully tuned environments they are relatively safe; now for some fuels, there is a critical mass, where if you put together enough of it it generates an exponential runaway neutron process. Below that threshold, however, the existence of that runaway process doesn't make it more radioactive, because that runaway process is very very non-linear.

The decay products tend not to have this particular runaway process feature (exception: breeder reactors). So they'll remain radioactive, but their radioactivity will be relatively uncontrolled and constant.

Standing inside to an active reactor is going to be more dangerous than standing next to spent reactor fuel. But the active reactor fuel won't be dangerous (other than the spent part) once you are no longer carefully tweaking its environment to generate power.

Yakk
  • 4,377
2

The uranium that was mined was heavily diluted with other elements, and goes through an extensive refining process to produce nuclear fuel. Nuclear waste has 90%-99% of the uranium concentration of the refined nuclear fuel. Thus, it is far more radioactive than the raw mined material and the mine itself is no longer a suitable repository for it.

Additionally, nuclear waste contains decay products that are not produced from natural decay, and those can be much more dangerous than the uranium and other elements found naturally in the mine.

dotancohen
  • 4,543
1

The other answers mention this only as an aside:

Nuclear reactors trigger and thus vastly accelerate the otherwise very slow decay of the fuel by maintaining a controlled chain reaction.

The chain reaction is typically effected through neutrons emitted when a nucleus splits. If, on average, more than one of these neutrons triggers another split, because there is enough fuel around and the neutrons have the proper energy to interact with other nuclei, an exponential chain reaction happens. Nuclear power plants work by keeping this average fairly exactly at 1. They are much like a slow-burning nuclear bomb (and the Chernobyl accident demonstrates the effects of failing moderation).

By contrast, the spent fuel decays spontaneously at a speed which makes it extremely radioactive. The energy produced per time is much lower than during the controlled chain reaction. But spent fuel must still be cooled for years (the damaged Fukushima spent fuel pools demonstrate what happens when cooling fails) and even after that makes the waste heat an issue for decades, for example when the fuel is buried. Dry cask spent fuel storage containers typically have cooling ribs to improve heat exchange with the environment.

-4

Someone once explained to me that the real problem with nuclear waste is not its radioactivity but its strategic value. It contains a lot of radioactive plutonium. Safely storing nuclear waste is not a technical problem. We could encase it is glass and bury it half a mile down in the Canadian Shield and it will NEVER come back...on its own. The problem is that a hundred years from now, or two hundred years from now, an evil dictator could take over the country and send slaves to dig up the waste so he can turn it into bombs.

That's why it's important to go for breeder reactor technology...to use ALL the energy in the fuel before we throw it away, not just 2 or 3 percent of the energy.

Marty Green
  • 4,289