I'm confused about energy driven by a wave. Consider a sinousoidal wave moving in a rope.
In my view each element $dm$ of the rope follows a simple harmonic motion in time. That means that the mechanical energy $dE=dK+dU$ of the single element $dm$ is constant.
Nevertheless on Halliday-Resnik-Krane I found this explanation.
Despite the analogies with simple harmonic motion the mechanical energy of the element $dm$ is not constant. [...] That's not surprising since the element $dm$ is not an isolated system and its motion is the result of the action of the rest of the rope on it.
I really do not understand how this can be possible. A similar doubt is for the energy density per unit length.
To sum up I found two cotrasting description of the energy and the energy density in a mechanical wave on a rope.
$1.$ (This is the one I'm ok with) The mechanical energy of the single element $dm$ of the rope is constant and equal to $$dE=\frac{1}{2} dm v_{max}^2$$
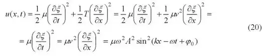
From here the linear energy density, defined as
$$u=\frac{dE}{dx}=\frac{1}{2} \mu \omega^2 A^2$$
is constant.
$2.$ (Hallyday-Resnik-Krane) The mechanical energy of the single element of the rope is $$dE=\frac{1}{2} dm (\frac{\partial \xi}{\partial t})^2+\frac{1}{2} T(\frac{\partial \xi}{\partial x})^2 dx $$
($T$ is the tension of the rope)
The mechanical energy of the element of mass $dm$ is not constant since the element is not isolated from the rest of the rope.
From here the linear energy density is not constant either and its expression is $u=\frac{dE}{dx}$
Which of these two is the correct one and why?
In the description $2.$ I'm ok with the expression of the mechanical energy but I do not agree with the fact that $dE$ and $u$ are not constant.
Is the mechanical energy of $dm$ really not constant? If so, what can be an explanation for that?
Is this somehow related to the fact that the energy of a wave is not concentrated in a single point but somehow spread in all the rope continuously?
Any suggestion on this topic is really appreciated.
