Does the frictional force increase as the normal force increases, or does the coefficient of friction get smaller in value?
4 Answers
Friction $F$ is non-linear by nature and linear models only apply in certain ranges.
Firstly, friction comes from the contact of the two surfaces. They are rough, so they have peaks and spikes that meet the other surface. At contact these peaks "glue" to the surface by adhesion (chemical bonding). In order to make the surfaces slide across each other, these bonds must be broken - in other Words: the strength of the material that these Peaks are made of, must be overcome so that they will deform and eventually break.
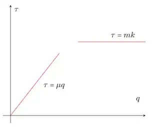
- In the widely used Coulomb's friction law $F=\mu n$, the coefficient of friction $\mu$ is a constant and $n$ the normal force. The law was originally defined in a general per-area form: $$\tau=\mu q$$ where $\tau$ is friction per area and $q$ is normal pressure (normal force $n$ per area). This law only applies at low normal pressures - that is, when the normal pressure $q$ is way lower than the shear strength $k$ of the weakest material. In this case, when pressing the surfaces harder together, the asperity tops will be more flat. This will increase the real contact area proportionaly to the pressure, which is what this law shows.
The shear strength $k$ tells something about when a material will start to deform from such sideways motion. Such deformation will namely change the surface and thereby the roughness and contact area.
- At higher normal pressures, one may use a constant-friction model: $$\tau=mk$$ The coefficient $m$ will be in the range from $0$ to $1$. This illustrates how we at high pressures have flattened the asperities fully. Further pressure therefore can't flatten them more, and the contact area is constant at higher pressure. Therefore friction remains constant for higher pressure, as the law states, and now only depends on the materials strength $k$.
The combination of these two models is called the Orowan's friction model, where the first one will apply for $\mu q \ll k$ and the second for $\mu q \gg k$. In the range around $\mu q = k$, this model is not usable. This is namely the region where the deformation zones around the asperities, which are being flattened, start to meet and overlap. The deformation zones Thus prevent each other from deforming further, and therefore the contact area stops being proportional to the increasing pressure. When the asperities are fully flattened the constant-friction law takes over. See the graph below:
The in-between transition region is much more complicated than any of the two laws, which are merely applied in their respective regions in order to have simpler expressions to work with. Other models are trying to model the whole friction range better. The only one I know of is the Wanheim and Bay's friction model, which takes into account the area dependence:
$$\tau=f\alpha k$$
where $f$ is called the friction factor and $\alpha$ is the ratio between the apparent and real contact area.
- 53,191
In the idealistic model of friction - the coefficient does not change.
But in the realistic, practical sense the idealistic model fails 9 times out of 10. The sliding of two surfaces causes heat and rise in temperature, and this can lead to second order effects. Continued sliding can polish the tow surfaces reducing roughness and this can reduce the coefficient. In other materials the sliding can create stickiness and lead to a slip-stick frictional force that's unpredictable by any model except perhaps in a few cases by stochastic models.
Friction is in general nonlinear and the equation you cite is an ideal approximation of how things might happen in the carefully controlled physics lab.
- 11,779
The coefficient of friction should in the majority of cases, remain constant no matter what your normal force is. When you apply a greater normal force, the frictional force increases, and your coefficient of friction stays the same. Here's another way to think about it: because the force of friction is equal to the normal force times the coefficient of friction, we expect (in theory) an increase in friction when the normal force is increased.
One more thing, the coefficient of friction is a property of the materials being "rubbed", and this property usually does not depend on the normal force.
- 251
- 37
Well an old kemps engineers year book I took notes from, gave static coefficient values for cast iron on steel for a number of different pressures, which showed a rise in value with pressure increase. Also, It is generally recognised that the static friction coefficient between steel interfaces of a connection made with torqued up bolts is about .4 although the more conservative value of .35 is commonly used when designing against slip. Yet those old college class room experiments with light desk weights always resulted in values of a about .25
