I fully understand that Wigner function provides the complete information of a state of a quantum system, i.e. quantum phase space, while not violating Uncertainty principle. But can anyone tell me how this is derived and why it could work at the first place? To me the mathematics isn't very simple to visualise. It looks like some convolution and fourier transform in place at the same time. It would be helpful if anyone can motivate the origin of the terms in the function?
2 Answers
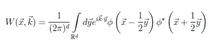
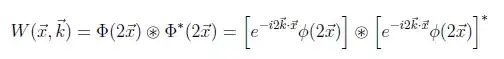
In fact you can write this equation as a convolution of two terms that I will show. If you write the Wigner function as:
Then you can show that:
So, this is a convolution between a wave and its complex conjugate. The origin of this pseudo-distribution, I think, is clearer in the context of signal processing.
- 29
I read a paper yesterday, the unique choice of this form for Wigner function has to do with the properties that it must obey, so in some sense, it is the constraint that leads to the form of the Wigner function, and also by drawing the analogy between classical and quantum statistical mechanics. The phase space density must also obey Heisenberg uncertainty principle hence the name quasiprobability distribution in the case for quantum phase space density i.e. the Wigner function as it is impossible to determine for certain the state of a single particle. Nevertheless, it must yield the distribution of q, when integrate over the conjugate variable p vice versa. It must also obey Galilean transformation, Probability distribution must be unchanged upon reflection in space and time. In the link, below one can find examples of how the wigner function applied to a simple harmonic oscillator.
DISTRIBUTION FUNCTIONS IN PHYSICS: FUNDAMENTALS by Wigner
- 1,279


