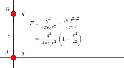
The two point charges are as below:
Then the Coulomb force between them is:
$$F_1=\frac{q^2}{4\pi\epsilon_0 r^2}$$
When the inertial reference frame moves left at $v$(or the point charges move right at $v$), then there will be magnetic field according to Biot–Savart law.
The Lorenz force between the two point charge in the vertical direction will be nonzero. The magnitude of the Lorentz force is:
$$f_L=\frac{\mu_0 q^2v^2}{4\pi r^2}$$
In wiki on Lorentz force, it says that:
The electric and magnetic fields are dependent on the velocity of an observer, so the relativistic form of the Lorentz force law can best be exhibited starting from a coordinate-independent expression for the electromagnetic and magnetic fields,[27] \mathcal{F}, and an arbitrary time-direction
Considering $F_1$ and $f_L$ have opposite directions and optical velocity $1/c^2=\mu_0\epsilon_0$, the magnitude of the force $F_2$ between the two charges becomes:
$$F_2=F_1-f_L= \left(1-\frac{v^2}{c^2}\right)F_1$$
Am I right?
Per the calculation here, it is easy to obtain the time dilation factor $\displaystyle\sqrt{1-\frac{v^2}{c^2}}$ of an event that the two point charges separate to a distance of $r$.
The nonlinear ODE:
$$\dfrac{d^2r(t)}{dt^2}=\dfrac{\left(1-\dfrac{v^2}{c^2}\right)q^2}{2\pi m\epsilon_0\left(R+r(t)\right)^2}$$
with initial/boundary conditions $$r(t)=0,\quad r'(t)=0$$
Solution:
$$ \because\qquad\qquad\qquad\qquad\qquad\qquad\qquad $$ $$\int {\rm{Left }}\cdot dr=\int\frac{d^2r}{dt^2}\cdot {dr}=\int\frac{d\left(\dfrac{dr}{dt}\right)\cdot dr}{dt}=\dfrac{1}{2}\int d\left(\left(\dfrac{dr}{dt}\right)^2\right)=\dfrac{1}{2}\left(\dfrac{dr}{dt}\right)^2$$
$$\int{\rm Right}\cdot dr=\int\dfrac{\left(1-\dfrac{v^2}{c^2}\right)q^2 \cdot {dr}}{2\pi m\epsilon_0\left(R+r\right)^2}=\dfrac{\left(1-\dfrac{v^2}{c^2}\right)q^2 {r}}{2\pi m\epsilon_0\left(R+r\right)R}$$
$$\therefore \dfrac{dr}{dt}=\sqrt{\dfrac{\left(1-\dfrac{v^2}{c^2}\right)q^2 {r}}{\pi m\epsilon_0\left(R+r\right)R}}$$
$$\therefore{dt}=\sqrt{\dfrac{\pi m\epsilon_0\left(R+r\right)R}{\left(1-\dfrac{v^2}{c^2}\right)q^2 {r}}}dr$$
$$\therefore\int{dt}=\sqrt{\dfrac{\pi m\epsilon_0}{\left(1-\dfrac{v^2}{c^2}\right)q^2 }}\int\sqrt{\frac{\left(R+r\right)R}{r}}dr$$
$$\Delta t(r)=\frac{1}{\sqrt{1-\dfrac{v^2}{c^2}}}\sqrt{\dfrac{\pi m\epsilon_0}{q^2 }}\left(\sqrt{r R (r+R)}-\frac{1}{2} R^{3/2} \left(\log R-2 \log \left(\sqrt{r+R}+\sqrt{r}\right)\right)\right)$$
which indicates:
The time interval that the two point charges separate a further distance $r$ in the moving reference frame is $\displaystyle\frac{1}{\sqrt{1-\dfrac{v^2}{c^2}}}$ that in the static reference frame where $v=0$.
Does this means Lorentz transformation for time is natural for an event involving both electric and magnetic laws without the need of considering special relativity?
Can a full version of Lorentz transformation be derived in such an approach?
P.S.
I found this question with no accepted answer is similar, but I made some further calculation and extension here.

