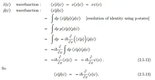
I have a problem understanding a specific bit of Dirac notation. Take, as an example this derivation:
I'm dubious about the step from line 3 to 4. When momentum operator acts on the momentum eigenstate, it drops an eigenvalue p. First question: shouldn't p be just a number? If we want to have an explicit space representation of the momentum operator shouldn't we write:
$\langle x| \hat{p} | p \rangle = \langle x|-i\hbar \frac{\partial}{\partial x}|p\rangle $
instead? But then are we allowed to just take the derivative out of the product? How to justify that we can?
