8

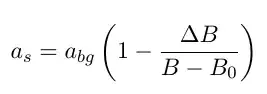
In the context of cold atoms, one can make use of the Feshbach resonance mechanism to alter the sign and value of the two-particle scattering length by applying and varying an external magnetic field. From quantum mechanical scattering theory, one can determine that the scattering length as a function of the magnetic field is given by:

enter image description here

By varying this scattering length, one can let the atoms form strongly bound molecules when the scattering length is small and positive, or, in Fermi gases, form Cooper pairs when the scattering is small and negative. Now, I know that a positive scattering length stands for effective repulsive interactions and a negative scattering length stands for effective attractive interactions. My question about this is twofold (but both parts are related):

1) How come the atoms form molecules for repulsive interactions? Isn't this nomenclature a bit misleading, since you would expect particles to repel each other? Or is the underlying potential still attractive?

2) When the magnetic field comes close to its resonance value B0, the scattering length becomes very large. How can particles still form molecules for such large "repulsive" interactions?

TikTak
  • 81

1 Answers1

12

I was confused about this point too when I first learned about Feshbach resonance. Eventually I realized that my confusion had more to do with scattering theory than Feshbach resonance per se, so I'll focus on that.

The important point to remember is that scattering length is really about the phase shift. If at low energy you get the same s-wave phase shift as you would when scattering off a hard sphere of radius $a$, then the scattering length is $a$. But the potential need not actually be a hard sphere, or even a repulsive potential at all. In fact you can get this same phase shift from an attractive potential.

Here is a good reference on scattering from a professor at the University of Virginia. The treatment is pretty much what you'd find in any quantum mechanics textbook, but the fact that he includes pictures of the radial wave function for potential wells of various depths really helped my understanding.


To start with, recall that for a spherically symmetric potential $V(r)$ we can do separation of variables to get a wave function that's a radial part times some spherical harmonics. The radial part $R(r)$ satisfies the radial Schrödinger equation: $$-\frac{\hbar^2}{2m}\left[ \frac{d^2}{dr^2}R_l(r) + \frac{2}{r} \frac{d}{dr} R_l(r) + \left( k^2 - \frac{l(l+1)}{r^2} \right)R_l(r) \right] + V(r) R_l(r) = 0$$

We can then define $u_l(r) = r R_l(r)$, which satisfies: $$-\frac{\hbar^2}{2m}\left[ \frac{d^2}{dr^2}u_l(r) + \left( k^2 - \frac{l(l+1)}{r^2} \right)u_l(r) \right] + V(r) u_l(r) = 0$$

Note that $u_l(0) = 0$. We can simplify a bit more by defining $$\tilde{V}(r) = V(r) + \frac{\hbar^2}{2 m}\frac{l(l+1)}{r^2}$$ so we have $$\frac{d^2}{dr^2}u_l(r) + \left( k^2 - \frac{2m}{\hbar^2}\tilde{V}(r) \right)u_l(r) = 0$$

In other words, the angular momentum term just increases the potential. This term is sometimes called the centrifugal barrier. At low energies (such as you have in cold atom experiments using Feshbach resonance) the particles don't have enough energy to overcome the centrifugal barrier, so they won't even get close enough to feel a short range potential. That's why you only have s-wave ($l=0$) scattering. But in any case, the scattering length is defined in terms of the s-wave scattering, even in cases where the partial waves for non-zero $l$ also matter.

From here on out I'll focus on the s-wave ($l=0$) case. So $\tilde{V}(r)$ is just $V(r)$, and I'll drop the subscript $l$ and just write $u(r)$ for $u_0(r)$.

So for $V(r) = 0$, we have $$\frac{d^2}{dr^2}u(r) + k^2u(r) = 0$$ which has solutions $u(r)=\sin\left(kr\right)$ and $u(r)=\cos\left(kr\right)$. Only the sine satisfies the boundary condition at $r=0$. Similarly for a potential which is non-zero over a finite range, outside that range we will have $$u(r)=\sin\left(kr + \delta(k) \right)$$ the same solution with a phase shift to make it satisfy continuity with the solution in the region where the potential is non-zero.

The scattering length $a$ is determined by this phase shift, according to the equation $$\lim_{k \to 0} k \cot \left(\delta(k)\right) = -\frac{1}{a}$$

Now in the low-energy limit ($k \to 0$) we have $\frac{d^2}{dr^2}u(r) = 0$, so $u(r)$ is linear. And indeed $$\lim_{k \to 0} u(r)=\lim_{k \to 0} \sin\left(kr + \delta(k) \right) = k \left( r - a \right)$$ provided $\lim_{k \to 0} \delta(k) = - k a$.

Now here's where those illustrations come in handy. You can draw $u(r)$ in the $k \to 0$ limit for various square well potentials (or any potential which is non-zero over a finite range, but we'll stick to square wells). It'll be linear outside the range where the potential is non-zero. Then you can extend a tangent line all the way to the $r$-axis, and where it hits will be the scattering length.

So start with the hard-sphere potential, an infinite square barrier (square when plotted as a function of $r$). $u(r)$ is linear for $r > a$ and $u(r) = 0$ for $r < a$. So the scattering length is just $a$.

Now consider a finite square barrier that extends to $r=b$. $u(r)$ is linear for $r > b$, and then becomes concave up as it decreases to $u(0) = 0$. (The concavity makes sense because you have a decreased probability of finding the particle in the region of non-zero potential, relative to the case of a uniformly zero potential.) Extending a tangent line from the linear part, it hits the $r$-axis at $r=a$ for some $a < b$.

As the barrier is reduced to zero, the concavity of the function is reduced, until with zero barrier it is linear all the way to $r = 0$, and thus the scattering length is zero (as we would expect when the scattering potential is zero).

However, we can keep decreasing the height of the barrier past zero, turning it into a finite square well. Now $u(r)$ is concave down for $r < b$ (with $b$ the radius of the well), while still being linear outside the well. (The concavity makes sense because you have an increased probability of finding the particle in the region of non-zero potential, relative to the case of a uniformly zero potential.)

Now our tangent line intersects the $r$-axis at some $r = a < 0$, and the scattering length is negative.

But if you continue increasing the depth of the well, the scattering length becomes more and more negative, until eventually our tangent line is perfectly horizontal and the scattering length is negative infinity. And past that point the tangent line tilts the other way and the point where it intersects the $r$-axis starts moving in from positive infinity. In fact, this happens at exactly the point where the bound state appears, and from there on increasing the depth of the well actually results in a decreasing positive scattering length.

So what we've seen is that a short range attractive potential can actually have low energy scattering which is the same as you'd get for a larger hard sphere repulsive potential. This isn't as strange as you might think, since for small $k$ the de Broglie wavelength of the particles is much larger than the size of the potential well, so they can't "see" the details of the potential.

So anyway, if you followed all that it should no longer be surprising that on the BEC side of a Feshbach resonance you can have a potential that's sufficiently attractive to support a bound state, and yet has a large positive scattering length - because that's also true of an ordinary square well. Of course in atomic Feshbach resonance what's actually going on is more complicated (closed channel hyperfine states coupling to open channel hyperfine states), but I don't think you need all that to understand the scattering length.

To be clear, I should note that a Feshbach resonance isn't just a matter of adjusting the depth of some potential well at fixed point in space. It's instead adjusting the interaction potential between every pair of atoms in your system. This is why it's such a valuable tool. But the change in scattering length can be understood by comparison to the case of a particle scattering off a fixed potential well.

Tim Goodman
  • 2,352