Wherever I see calculations of two-loop contributions to the $\phi^4$ propagator (such as Peskin, page 328, on the bottom), only the sunset diagram (aka the Saturn diagram) is considered, but not, say, the two-loop diagram involving a loop on top of a loop (looks like this: _8_). Does it not contribute? As far as I can tell, it does and the loop integral for it is $$\int\frac{d^4k}{(2\pi)^4}\frac{d^4q}{(2\pi)^4}\frac{1}{(k^2−m^2)^2}\frac{1}{q^2−m^2}$$ with a high degree of divergence ($Λ^2$). Am I correct or am I missing something?
Asked
Active
Viewed 2,796 times
1 Answers
2
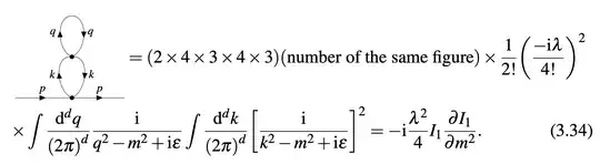
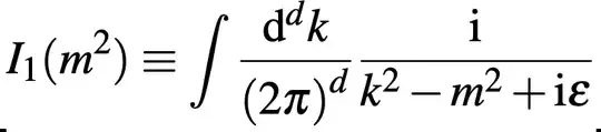
As far as I know, I think you mean this diagram,

And the divergent part of $I_1$ is $I_1^{\text{div}}=-\frac{m^2}{8\pi^2\epsilon}$, where $\epsilon$ is from $d=4-\epsilon$. At least we can see that $I_1^{\text{div}}\frac{\partial I_1^{\text{div}}}{\partial m^2}$ will have a divergent term like $1/\epsilon^2$. Thus, we can see this $\_8\_$ diagram will contribute to the two-loop for the correction of mass.
Guangjie Li
- 31
