I need to write a mock up application that returns a quote to potential borrowers. The specification says that "The monthly and total repayment should use monthly compounding interest".
Program input: Requested Amount, Rate, Loan length in months
Program output: monthly repayment, total repayment amount
This is the example they give:
Input:
Requested amount: £1000
Rate: 7.0%
Months: 36
Output:
Monthly repayment: £30.78
Total repayment: £1108.10
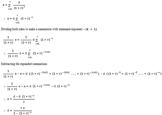
The problem is that I don't know how they arrived at this result. After consulting some websites, for example here. I found that the formula for calculating the compound interest rate is
A = P (1 + r/n) ^ nt
 Where:
A = the future value of the investment/loan, including interest
P = the principal investment amount (the initial deposit or loan amount)
r = the annual interest rate (decimal)
n = the number of times that interest is compounded per year
t = the number of years the money is invested or borrowed for 
Using this on our example we get A = 1000*(1+0.07/12)^(36) = 1232.92, which is not 1108.10 as they say in their example.
I am wondering if their example is wrong or am I missing something here
Thanks!
 
    
 
     
    