This seems to be very basic but I am confused about it. I know ground is a point whose potential is zero. Now let's take a piece of wire , and mark a point A on that wire. I said , A has potential of -15 with respect to ground, what does that exactly mean? How can a voltage be lesser than zero? Any explanation in terms of electron? For example we define positive voltage as the force at which electrons ar being pushed in a particular point. Can we have an intuitive Idea about negative voltage using this force or electron concept?
-
15Voltage is a relative quantity. Selection of earth potential to be zero is arbitrary. If you have points A and B with voltage V between A and B, then you will have voltage of -V between B and A. – Eugene Sh. Feb 24 '21 at 19:33
-
9Take a 1.5V battery. Rest its flat base on your ground (0V). Its top terminal is +1.5V. Now turn it over and put its cap on the ground : its base is now -1.5V. Until it falls over! – Feb 24 '21 at 19:41
-
7Now let's take a piece of wire You need two pieces of wire to be able to measure a voltage. Note how all voltage meters have two connections used for measuring a voltage. It is up to you which wire you define as being "0 V". – Bimpelrekkie Feb 24 '21 at 19:42
-
1I should correct myself. Potential is a relative quantity. Voltage is a difference between two relative quantities (relative to the same reference), and therefore is absolute. – Eugene Sh. Feb 24 '21 at 19:49
-
2The voltage is a potential difference, for example, if we have on one end of a wire 300 are electron missing and on the other end, 500 electrons are missing. Then we have the voltage between those two points. Both of those "points" are "positive", but the first point (300 electrons missing) is negative with respect to the second point (500 missing electrons). So everything is relative. https://electronics.stackexchange.com/questions/392010/how-to-find-voltage-based-on-reference-nodes/392063#392063 – G36 Feb 24 '21 at 20:05
-
Just about nothing is actually zero volts some kind of charge is everywhere – Voltage Spike Feb 26 '21 at 22:45
-
A voltage greater than zero is conceptually no different from a voltage less than zero. One has more potential than ground, the other less. Ground doesn't have no potential at all -- there are electrons everywhere. – David Schwartz Feb 27 '21 at 10:59
10 Answers
You could consider the voltage a bit like floors on a building. A numbering system used in many places in Europe defines that the ground floor is 0 or G, that floors above it are numbered positively and numbers below it are negatively. You now have the option of measuring everything relative to ground (the floor number) or measuring the difference in level between any two floors (the potential or voltage difference).
In the left image above our man is standing on Floor 2 relative to ground. The electrical analogy is that some point on the circuit is connected to ground / earth and by convention is zero volts and all voltages (heights) are measured relative to this.
An 'all above ground' building will have no negative floors. A bunker or underground car-park will have no positive floors.
If the building is launched off into space he has no ground reference and is free to number the floors any way he wishes, including have Floor 0 at any arbitrary point. This is analogous to having an electrically isolated circuit with no ground connection in that we can call any point 'ground'.

simulate this circuit – Schematic created using CircuitLab
Figure 2. Two 1.5 V cells with three different reference points.
Hopefully Figure 2 makes it a bit clearer. Depending which point we assign as reference (GND) the other points' relative voltage changes.
- 175,532
- 13
- 190
- 404
-
-
4
-
This also makes a good starting point for the "current as a flow of water" analogy, by the way. Water flows from a high point to a low point, and has water pressure based on height above the outlet. So if you have a tank on floor 2 and an outlet on floor 0, and a tank on floor -1 and an outlet on floor -3, the water flow from each outlet will be the same. And so too with current. – Graham Feb 26 '21 at 11:36
-
@Graham, thanks. I use dodgy water analogies in some of my answers but find that open-loop analogies are quite poor as they don't reinforce the concept of a circuit. Adding a pump (the battery) and making it a closed circuit is a big help and might even work in outer space. – Transistor Feb 27 '21 at 11:21
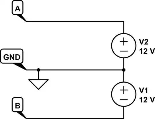
Please consider this diagram:

simulate this circuit – Schematic created using CircuitLab
You ALWAYS measure a voltage with respect to a reference point. Often that reference point is GND or GROUND. So if you measure A with respect to GND you will get 12V.
If, however, you measure B with respect to GND you will get -12V.
- 7,917
- 1
- 17
- 28
Voltage is like height. The amount of energy it takes to roll a ball from A to B depends on the difference in height between points A and B. Similarly, the amount of energy it takes to move an electron from A to B depends on the difference in voltage between points A and B.
Just like height, there's no real zero. You can always dig a deeper hole, or build a higher tower, and there's no reason to think that the ground level at my house is a better zero than the ground level at your house, but I'm going to measure from my ground, because that's where I am.
The height analogy works very well until moving magnets come into the picture. They can make a round trip go uphill both ways.
- 1,378
- 6
- 7
The electron approach is exactly correct.
Electrons are drawn towards positive voltage and away from negative voltage. Just to make it confusing, positive voltage itself is often a deficit of electrons, and negative voltage implies a surplus of electrons (roughly speaking).
Thus, if allowed (e.g., via a wire), electrons will flow away from negative voltage and towards positive voltage - where it is "less crowded".
Note also that this makes everything your are taught in modern circuit designs is completely backwards. Such diagrams are drawn top to bottom - with bottom being ground - so it seems like current flows "down" the circuit. In reality, electrons flow from ground to +VCC (which is backwards). This is how old tube circuits were drawn, as the electrons "boil off" the cathode and fly towards the anode.
- 340
- 2
- 7
-
3It's not 'backwards', it's a matter of convention. In metal wires, charge carriers are the electrons so the electron flow and the current are in opposite directions. But there are other mediums in which the charge carriers are positive. – Sacha Feb 24 '21 at 20:30
-
1I was simplifying a bit. Hence my caveat "via a wire". And, as you note, I can use any convention for which way is positive current flow. It will all be sorted out by the signs of quantities, so long as I am consistent. The question sought an "intuitive explanation", which is what I tried to provide - without going into minority and majority charge carriers, etc. – eSurfsnake Feb 24 '21 at 20:33
-
1Voltage and potentials might exist without any electrons at all. The only entity required is the electric field. Sure one can say that the field is created by some charge, but this charge can be very far away from the points in question and quite irrelevant. – Eugene Sh. Feb 25 '21 at 01:00
-
and the strength of the field - no matter its origin - is determined by the force on a test charge. – eSurfsnake Feb 25 '21 at 17:39
The number of electrons answer is a good answer from an electrons point of view. Pranav Kumar also has an excellent answer. Here's mine.
If you've studied algebra, this explanation will make more sense to you. I'll try to keep it simple so that you might understand this even if you haven't studied algebra. If you are familiar with the metric system temperature units, then you are also aware that the temperature can drop below 0 degrees Celsius. -15V is similar to a temperature drop of 15 degrees below 0 degrees Celsius. The temperature's 0 degrees Celsius and GND (0V) in electricity are reference points by which to compare other values (temperatures or voltages). This means that the temperature (or voltage) can rise above 0 degrees Celsius (or +V), or it can drop below the 0 degree Celsius (or -V) reference points (0 degrees Celsius, GND or 0V). The positive (+) and negative (-) symbols indicate the polarity of the voltage. These symbols also tell you to which side of the reference point (0) the values belong to; the greater than or less than side of 0.
When comparing two integers one number is always going to be greater than the other. Right? So, if I say, +4 degrees > +2 degrees, you'll agree that +4 degrees is greater than +2 degrees. If I say, +4V > +2V, then you'll agree that +4V is greater than +2V. I hope that by now you grasp the similarity between temperatures and voltages. Just as the temperature can drop below 0 degrees Celsius, voltages can also drop below 0V (or the GND reference point). The 0 degrees Celsius, or GND (0V) can be thought of as a reference by which to compare warmer (+ degrees Celsius) and colder (- degrees Celsius) temperatures, or positive voltage (+V) and negative voltage (-V). If I say, +2 degrees Celsius > -4 degrees Celsius, then I hope you are able to comprehend that +2 is greater than -4. And finally, if I say that 7V > -7V, that you agree that +7V is greater than -7V.
You can find several excellent explanations of positive and negative voltages in alternating current examples all over the internet. I hope this was helpful.
- 89
- 2
-
"The number of electrons answer is a good answer from an electrons point of view." But isn't that the definition of voltage? It relates to the physical force induced on a test charge. Hence, from an electron's point of view. I appreciate all the answers trying to explain references and differences, but the questioner wanted an intuitive explanation. So, I used the one from intro college physics. – eSurfsnake Feb 25 '21 at 17:35
The potential is not an absolute quantity.It depends on the reference chosen, for example ,here you chose the reference as ground and assigned it 0 potential. Also, your definition of voltage(potential difference) is wrong.The work done on a positive unit charge when moving it from point A to point B is the potential difference V_BA.
Having said that you should now notice that assigning potentials to different positions is basically done by assigning the potential difference with respect to the reference chosen(here it is 0 for ground).What it means for the potential to be negative is that the potential difference between that point and the reference is negative.
- 69
- 7
I think a good thing to add to all the previous answers is the concept of a voltage difference.
Generally, if you have 5V, 0V and -5V on one installation, another way to show the exact same thing is to shift the zero points, in other words 10V, 5V and 0V. The whole idea is that often we are more concerned with the "voltage difference". Of course in a real circuit we often are limited by what point we consider zero due to the fact that the idea that zero = no voltage (ground) is ideal. But if you designed your circuit differently you can use any point as a ground, given that you changed the rest of the circuit accordingly.
But when talking about -5V, you can simply also think of it as 5V, flowing in the other direction. As the voltage difference's pure value between both 5V and -5V to ground is both equal, just running in the opposite direction. A good way to think of it is velocity, where negative velocity often means the same as the positive one, except that its running in the opposite direction.
So when you have both 5V and -5V in a circuit, you can take it simply as 5V- (-5V), which means there are 10V between them, regardless of the sign. And the sign just simply shows you which direction the current will flow, as current will flow from higher potential to lower potential.
- 259
- 2
- 11
At the intuitive level, Voltage is pressure, and the idea of positive and negative pressure has been around for a few thousand years; you can suck water into a straw, or blow water out of a straw. We use terms like "positive" and "negative" to describe the direction of the applied pressure, but there is nothing magical about either one. That most electronics today run on a "positive voltage" is part tradition, part convenience, and part technological performance. There are no absolutes in how we describe and measure the pressure. In most consumer electronics today there is one power source potential. 12 V, 9 V, 6 V, 5 V, and 3.3 - 3.6 V are very common, and for all of these (whether from batteries or a wall wart), the voltage is positive with respect to (((the circuit's))) ground.
But it was not always so. The giant consumer item of the early-to-mid 60's was the transistor radio. The typical model has six transistors and ran on a single 9 V battery. BBBBBUT - the battery's anode (positive terminal) was the circuit's ground potential, and the circuit "ran off of" the -9 V.
- 19,998
- 1
- 13
- 32
Voltage really describes the potential energy or stored energy of the electric field present.
You can make an analogy with the gravitational field, although there is no negative charge persay, or repulsion, The nature of the description of this classical field is very similar to the electric static field.
So hopefully you can see the gravitational energy, is defined relative to some point. Now merely switching the points will introduce a negative sign. So you see negative potentials can arise from this nature.
But as well now, with electricity, we have positive and negative charge. So their are two ways the negative sign can arise. From positive and negative charges and with respect to the way coordinates are measured.
**Key point ** So, there are two ways you get a negative sign with voltage, positive and negative charges, and reversing your reference points.
Hope don't mind the lazy physics type answer.
- 163
- 8
-
Also because the choice of negative sign with way measurements are made, will change the signs of charges, there is a "correct" way to do it and a wrong way. So kind of three central concepts here. – marshal craft Feb 25 '21 at 16:46
A potential difference of +15V implies, relative to the ground, (which does not necessarily mean zero) i.e vₓ - V₀ = 15v.
Where vₓ =a measure of P.D at point x away from the arbitrary ground relative to ( V₀ ).
Negative voltage is gotten when vₓ < V₀
- 21
- 4
-
1If you use the word difference then the potential can be between any two points, neither of them needs to be ground. If you say "potential (or voltage) at some node" then the implication is that you are referencing the voltage to some other node that we have declared to be ground. – Elliot Alderson Feb 26 '21 at 16:33
-
1Ground, effectively by definition, is zero. That's why it's called $V_0$ in your equation. – Transistor Feb 26 '21 at 17:43
