So I was reading this research paper: H. Kosaka, T. Shibata, H. Ishii, and T. Ohmi, “An excellent weightupdating-linearity synapse memory cell for self-leaming neuron MOS neural networks,” in IEDM Tech. Dig., Dec. 1993, pp. 623426
https://ieeexplore.ieee.org/document/370025/
Here's a link to view the document:
For (b) the nmos1 source follower reads out the floating gate voltage, Фf, minus the nmos threshold voltage, vth: Ф- vth This is conducted into the tunneling electrode in the middle, right below the floating gate. Then, in (c), nmos2 turns off and the tunneling electrode holds onto this voltage (Ф- vth). Why?? Wouldn't it leak away slowly thru the nmos off resistances?
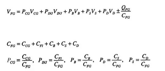
What bothers me is this seems like an endless feedback loop. The floating gate voltage is the sum of the weighted capacitive inputs and the effect of the charge in the floating gate:
Increasing the tunneling electrode potential Vinj will increase the floating gate voltage Vfg or Фf. then the source follower will pass it to the tunneling electrode and will add back to the floating gate voltage and so on.....
I need to clarify the above questions because what I want to do is to feedback the floating gate voltage and add a fixed tunneling voltage Vt before feeding it to the tunneling electrode. This will make the difference between the floating gate and tunneling electrode potentials constant, so that a constant tunneling current will flow and the floating gate voltage will increase linearly with time.

