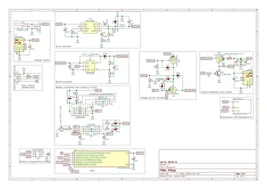
Im trying to do an UPS for a new proyect with a li-ion battery like cellphones ones, it needs to be reliable as I would like to left it at home without surveillance.
I have found this: answer from and old post. 
I would like to know if this works now a days, as the Post is 4 years old now, Mosfet life cycle is in "end of life" so maybe can be replaced for a new one, as far as I understand the load V is going to get determined by the drop in the Mosfet, I need 5v so maybe someone can recommend any other Mosfet with low drop?
I found this IC= BQ24079RGTR, and as far as I understand it does the same function as the circuit above?
