![]() | |
| Clinical data | |
|---|---|
| AHFS/Drugs.com | International Drug Names |
| ATC code | |
| Identifiers | |
| |
| CAS Number | |
| PubChem CID | |
| DrugBank | |
| ChemSpider | |
| UNII | |
| KEGG | |
| ChEBI | |
| ChEMBL | |
| CompTox Dashboard (EPA) | |
| ECHA InfoCard | 100.004.425 |
| Chemical and physical data | |
| Formula | C11H12N4O2S |
| Molar mass | 264.30 g·mol−1 |
| 3D model (JSmol) | |
| Melting point | 234 to 238 °C (453 to 460 °F) |
| |
| |
| (verify) | |
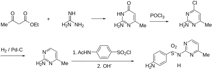
Sulfamerazine is a sulfonamide antibacterial.
Synthesis

See also
References
- ↑ Roblin RO, Williams JH, Winnek PS, English JP (1940). "Chemotherapy. II. Some Sulfanilamido Heterocycles1". Journal of the American Chemical Society. 62 (8): 2002–2005. doi:10.1021/ja01865a027.
- ↑ Sprague JM, Kissinger LW, Lincoln RM (1941). "Sulfonamido Derivatives of Pyrimidines". Journal of the American Chemical Society. 63 (11): 3028–3030. doi:10.1021/ja01856a046.
External links
Media related to Sulfamerazine at Wikimedia Commons
This article is issued from Wikipedia. The text is licensed under Creative Commons - Attribution - Sharealike. Additional terms may apply for the media files.
