![]() | |
| Names | |
|---|---|
| Preferred IUPAC name
4,7,8-Trimethoxyfuro[2,3-b]quinoline | |
| Other names
Skimmianin; β-Fagarine; Chloroxylonine | |
| Identifiers | |
3D model (JSmol) |
|
PubChem CID |
|
| UNII | |
CompTox Dashboard (EPA) |
|
| |
| Properties | |
| C14H13NO4 | |
| Molar mass | 259.261 g·mol−1 |
| Melting point | 177 °C (351 °F; 450 K)[1] |
Except where otherwise noted, data are given for materials in their standard state (at 25 °C [77 °F], 100 kPa).
Infobox references | |
Skimmianine is a furoquinoline alkaloid found in Skimmia japonica, a flowering plant in family Rutaceae that is native to Japan and China. It is also a strong acetylcholinesterase (AChE) inhibitor.[2]
Biosynthesis
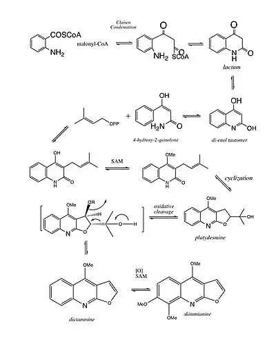
The biosynthesis of skimmianine starts from anthranilic acid,[3] which is very abundant in the family Rutaceae. By combining anthranilic acid acetate, anthraniloyl-CoA is formed as a starting unit and able to extend side chain by adding malonyl-CoA by Claisen condensation. Next, lactam is formed through the cyclization and generate a heterocyclic system, leading the dienol tautomer adopt the 4-hydroxy quinolone tautomer, which is 4-hydroxy-2-quinolone.
With the formation of quinolone, alkylation is happening at C-3 position by introducing dimethylallyl diphosphate. Another key step is the cyclization on the dimethylallyl sidechain, forming a new heterocyclic five-member-ring.[4] Platydesmine is then forming an intermediate through the oxidative cleavage reaction[5] by losing an isopropyl group to form dictamine. Finally, skimmianine is formed through the hydroxylation of dictamine.

References
- ↑ "Chemistry Dashboard". comptox.epa.gov. Retrieved 2019-06-10.
- ↑ Yang, Zhong-duo; Zhang, Dong-bo; Ren, Jin; Yang, Ming-jun (2012). "Skimmianine, a furoquinoline alkaloid from Zanthoxylum nitidum as a potential acetylcholinesterase inhibitor". Medicinal Chemistry Research. 21 (6): 722–725. doi:10.1007/s00044-011-9581-9. S2CID 14113860.
- ↑ "Compounds Derived from Anthranilic Acid". Alkaloids. 2015. pp. 163–180. doi:10.1016/B978-0-12-417302-6.00009-X. ISBN 9780124173026.
- ↑ Manske, R. H. (1960). The alkaloids: Chemistry and physiology. New York: Academic Press.
- ↑ Guengerich, F. Peter; Yoshimoto, Francis K. (2018). "Formation and Cleavage of C–C Bonds by Enzymatic Oxidation–Reduction Reactions". Chemical Reviews. 118 (14): 6573–6655. doi:10.1021/acs.chemrev.8b00031. PMC 6339258. PMID 29932643.
.svg.png.webp)