![]() | |
![]() | |
| Names | |
|---|---|
| Preferred IUPAC name
N-Methoxymethanamine | |
| Other names
Methoxymethylamine; Methylmethoxyamine; HNMeOMe | |
| Identifiers | |
3D model (JSmol) |
|
| ChemSpider | |
| ECHA InfoCard | 100.012.960 |
PubChem CID |
|
| UNII | |
CompTox Dashboard (EPA) |
|
| |
| |
| Properties | |
| C2H7NO | |
| Molar mass | 61.084 g·mol−1 |
| Melting point | −97 °C (−143 °F; 176 K)[2] Hydrochloride salt: 112 to 115 °C (234 to 239 °F; 385 to 388 K) |
| Boiling point | 43.2[2] |
Except where otherwise noted, data are given for materials in their standard state (at 25 °C [77 °F], 100 kPa).
Infobox references | |
N,O-Dimethylhydroxylamine is a methylated hydroxylamine used to form so called 'Weinreb amides' for use in the Weinreb ketone synthesis.[2] It is commercially available as its hydrochloride salt.[1]
Synthesis
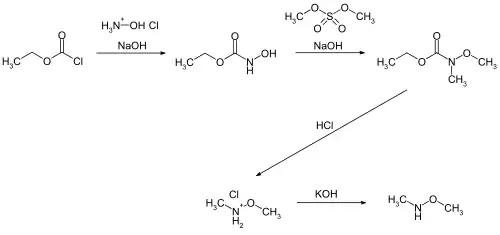
It may be prepared by reacting ethyl chloroformate (or similar) with hydroxylamine followed by treatment with a methylating agent such as dimethyl sulfate. The N,O-dimethylhydroxylamine is then liberated by acid hydrolysis followed by neutralization.[2]

See also
References
- 1 2 N,O-Dimethylhydroxylamine hydrochloride at Sigma-Aldrich
- 1 2 3 4 Weinreb, Steven M.; Folmer, James J.; Ward, Timothy R.; Georg, Gunda I. (2006). "N,O-Dimethylhydroxylamine". E-EROS Encyclopedia of Reagents for Organic Synthesis. doi:10.1002/047084289X.rd341.pub2. ISBN 0471936235.
This article is issued from Wikipedia. The text is licensed under Creative Commons - Attribution - Sharealike. Additional terms may apply for the media files.

