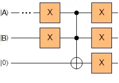
I would be interested to know how to transform the classic OR gate into a quantum gate. I thought a little about myself. The OR gate can also be rewritten as a NAND gate:
So, I have now tried to convert into a quantum circuit. If the lower bit of the Toffoli gate is 0, then the AND operation is performed. Accordingly, I have introduced the NOT gate to replace the NANDs.
My question, is that right? Or how would the OR gate look like a quantum gate?

