Firstly, I'd like to specify my goal: to know why QFT runs exponentially faster than classical FFT. I have read many tutorials about QFT (Quantum Fourier Transform), and this tutorial somehow explains something important between classical and quantum Fourier Transform.
Inside 1, it describes that:
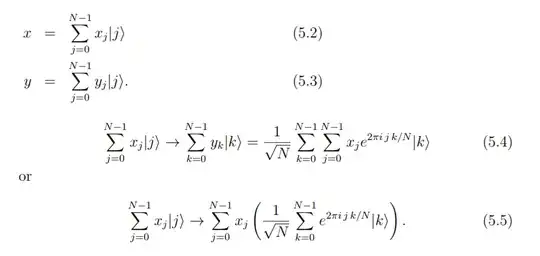
The quantum Fourier transform is based on essentially the same idea with the only difference that the vectors x and y are state vectors (see formula 5.2, 5.3),
However, I couldn't catch up the statement regarding "x and y are state vectors"; I get stuck at the formula 5.2 and 5.3. I want to know how to convert the classical input vector x to the right hand side of the formula 5.2. If this confusing problem is solved, it'll be better for me to understand the time complexity issue of QFT.
