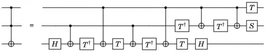
Refer to Quantum Computation and Quantum Information 10th Anniversary Edition exercises 4.21, 4.22, and 4.24.
We all know that the Toffoli gate can be represented differently in the following form.

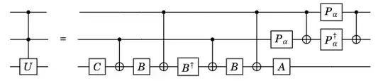
It follows from the following conclusion. That is, any controlled U-gate can be constructed with up to eight single qubit gates and six controlled non-gates.
Here we let $$A=HT, B=T^{\dagger}, C=H, \alpha=\pi/4$$
And we can get
Normally, this should be the end of it, because it's concise enough. But why do we add an extra S-gate to make the circuit more complex, even though the circuits are still equivalent?


