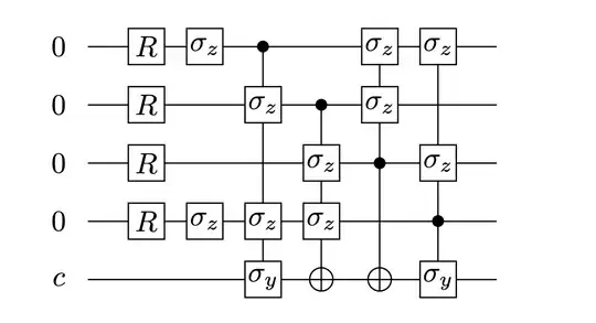
In Chapter 4 of Daniel Gottesman's thesis, he gave an encoding circuit for the famous $[[5, 1, 3]]$ code. 
Note that in this figure, $R$ is the Hadamard gate. However, this circuit seems not working properly to me. An encoding circuit should propagate physical $Z$ operators to stabilizer generators. In this circuit, the physical $Z$ on the first qubit will be propagated to $XIZIY$, which is apparently not correct as all stabilizer element of the $[[5, 1, 3]]$ should be weight-4. I also checked other $Z$ operators and they all don't give the right stabilizer generators.
The encoding circuit is obtained by his algorithm from the standard form of stabilizer codes. I also applied his algorithm to the standard matrix of $[[5, 1, 3]]$ code, and I got the same circuit. Therefore, I believe there should't be any typos in the figure, and the algorithm itself may be incorrect.
I also have access to the correct encoding circuit like in Fig 3(a) here[arXiv]. I wanna decipher the potential missing part of Daniel's algorithm, but failed. So I am wondering, what is the full algorithm to get encoding circuit from standard form? At least, I would like to know what is the mistake presented in this $[[5, 1, 3]]$ encoding circuit.

