0

Trying to dig a bit into GHZ States and the proper definition.

Trying to determine if GHZ state is strictly $|000\ldots\rangle$ or $|111\ldots\rangle$ or can it be $|010\ldots\rangle$ or $|101\ldots\rangle$. This is with the consideration that the qubits are entangled.

GHZ normal

Or if something like the following still applies:

Generalized GHZ

On the basis of:

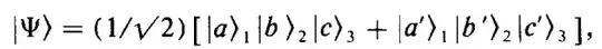
|\text{GHZ}\rangle = \frac{1}{\sqrt{2}} \left( |a\rangle_1 |a\rangle_2 |a\rangle_3 + |b\rangle_1 |b\rangle_2 |b\rangle_3 \right)

and From Bell's Theorem

From Bell’s theorem without inequalities, Page 9.

Thank you so much for your time!

Adam Zalcman
  • 25,260
  • 3
  • 40
  • 95
Lunarlife
  • 9
  • 2

3 Answers3

3

TL;DR: No, these are not GHZ states. They are cat states.

GHZ state

The GHZ state is defined as the state \begin{equation} \frac{|000\rangle+|111\rangle}{\sqrt{2}}.\tag1 \end{equation}

Generalized GHZ state

More generally, the $n$-qubit state \begin{equation} \frac{|0^{\otimes n}\rangle+|1^{\otimes n}\rangle}{\sqrt{2}}\tag2 \end{equation} is referred to as the generalized GHZ state. In both cases all qubits have equal labels.

That said, note that the label assignment to computational basis states (and indeed to any basis states) is a matter of convention. Still, for any choice of computational basis on $n$ qubits there exists a single GHZ state.

Cat states

A more general class of states, which includes the states where different qubits have potentially unequal labels, are the cat states. These are states of the form \begin{equation} \frac{|b\rangle+|\overline{b}\rangle}{\sqrt{2}}\tag3 \end{equation} where $b\in\{0,1\}^n$ is a string of $n$ bits and $\overline{b}$ is the bit string obtained by flipping every bit in $b$.

In some areas, e.g. quantum optics, this term is used even more generally to refer to any state of the form $(|\psi\rangle+|\phi\rangle)/\sqrt{2}$ where $|\psi\rangle$ and $|\phi\rangle$ have small, but non-zero overlap $\langle\psi|\phi\rangle$. In such contexts, people often refer to the state with $\langle\psi|\phi\rangle=0$ as the "ideal cat state".

Adam Zalcman
  • 25,260
  • 3
  • 40
  • 95
0

The general definition of a GHZ state, defined for $n$ qubits (this definition can be extended to qudits too) is

$$|\text{GHZ}_n\rangle = \frac{1}{\sqrt{2}} \left( |0\rangle^{\otimes n} + |1\rangle^{\otimes n} \right).$$

Clearly, the 3 qubit GHZ state is then defined as:

$$| \text{GHZ} \rangle = \frac{1}{\sqrt{2}}(|000\rangle + |111\rangle).$$

While the other states you mentioned are maximally entangled and exhibit extreme non-classical properties, they do not fit the standard GHZ definition.

banercat
  • 865
  • 5
  • 19
0

It is a matter of convention as to how one defines the term "GHZ state". However, if one wants to study entanglement as a resource, then one imagines the following scenario. Each qubit is with a different party, and each party can each apply local unitary transformations (or some other class of single-qubit operations) to their particular qubit freely. Two multi-qubit state are considered equivalent from the point of view of entanglement theory if they can be transformed into one another using such local unitary transformations. (Of course, the notion of equivalence depends on what operations you allow. Sometimes one further restricts to local Clifford unitaries.)

The state you wrote down seems to be obtainable from a GHZ state via local unitary transformations, so I would say it is equivalent to a GHZ state.

user173611
  • 135
  • 7