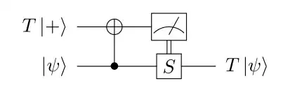
I am a little confused about where I am going wrong when computing the action of the following circuit:
My understanding is that the CNOT gate acts on the second qubit as a control and the first qubit as a target. However, we can flip the CNOT so that it is acting as a control on the first qubit and target on the second qubit by introducing $H \otimes H$ before and after the CNOT gate.
Now the circuit looks like:
I work through the circuit as follows:
Original states:
$$T|+\rangle = \frac{|0\rangle + w |1\rangle}{\sqrt{2}}$$ $$|\psi\rangle = \alpha |0\rangle + \beta |1\rangle$$
Action of $H \otimes H$ on the states:
$$H T|+\rangle = \frac{(1 + w)|0\rangle + (1-w)|1\rangle}{2}$$
$$H|\psi\rangle = \frac{(\alpha + \beta)|0\rangle + (\alpha - \beta)|1\rangle}{\sqrt{2}}$$
Action of CNOT on the resulting states:
$$CNOT(1 \rightarrow 2): \frac{1}{2 \sqrt(2)}( (1+w)(\alpha + \beta)|00 \rangle + (1+w)(\alpha - \beta)|01 \rangle + (1-w)(\alpha + \beta)|10 \rangle + (1-w)(\alpha - \beta)|11 \rangle )$$
Action of $H \otimes H$ on the resulting state:
$$(H \otimes H)(T|+\rangle \otimes |\psi \rangle) = \frac{1}{\sqrt{2}} \alpha |00\rangle + \beta |01\rangle + w\alpha |10\rangle + w\beta |11\rangle $$
But then, if I measure this state, I do not get $T|\psi\rangle$ (when I measure the first qubit) or $TS|\psi\rangle$ (when I measure the second qubit) as the circuit suggests?
Instead I get $\frac{1}{\sqrt{2}}(\alpha |0\rangle + \beta |1\rangle)$ when I measure the first qubit and $\frac{1}{\sqrt{2}}(w\alpha|0\rangle + w\beta|1\rangle)$ when I measure in the second qubit.
Can anyone identify what I am doing wrong here?

